- 易迪拓培训,专注于微波、射频、天线设计工程师的培养
MOSFET封装参数对同步降压转换器损耗的影响
高边(HS)开关器件MOSFET的寄生源电感对控制开关电流的下降沿时间起着举足轻重的决定作用。本文将推导出方程式,描述在HSMOSFET中电流下降沿时间的损耗,并研究这些方程式以了解MOSFET参数对动态损耗的影响和如何优化这些损耗。
图1所示为同步降压转换器的原理图,该转换器是PC机内核心转换器的主要动力。L2和L3是寄生源电感,由MOSFET封装引线源极电感和印刷电路板(PCB)寄生电感所组成。
图2所示为实际电压调节器模块(VRM)的开关波形。Ch1是图1中上端(HS)MOSFET M1 的栅地(Gate-Ground)电压;Ch2是同图中HSMOSFET
M1的源地(Source-Ground)电压。图2中的M1曲线是经计算的Ch1-Ch2,代表HSMOSFET的栅-源电压,而Ch3和Ch4 是M2和M1的漏极电流。在这个特殊的测试中,我们必须在图1的M1和M2源极使用一个电流环路(部分由L2和L3代表)以进行电流的测量。这会在电路中引入大的电感,从而使电路性能明显改变。虽然这不是真实的电路,但却可以帮助我们了解这些MOSFET在关断过程中的损耗机理。M1清楚地显示在栅极电压关断后,出现一段约2.5V的稳态电压,如图2 ch1所示。在这个稳态大约持续100ns的期间里,HS和LSMOSFET的漏极电流会改变状态,HSMOSFET关断,漏极电流(Ch4)将为0;LSMOSFET会导通,漏极电流(Ch3)将到达电感电流。这正是实际工作电路与目前我们对同步降压转换器工作原理的理解相矛盾之处。
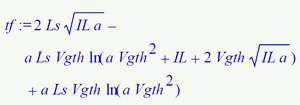
1.下降沿的时间tf可由如下等式计算出来:

此处Ls=寄生源电感,a=MOSFET栅极阈值附近的正向跨导,Vgth=栅极阈值电压,IL=负载电流。
2.动态功耗Pd为:


将(1)代入(2)得到(3),等式(3)表示作为下降沿时间(上式(1)中的tf)函数的动态损耗。

仔细研究(3)可以发现:动态损耗有几个分量与负载电流IL、IL3/2和ln(IL)1/2成正比。这与公式1中与IL的线性关系大不相同。这个复杂的关系说明了先前未能解释的现象--即高频同步降压转换器(开关频率>200KHz)的MOSFET在开关电流增加时产生过高的功耗。
图3描述了栅源极电压和漏极电流之间的关系。注意栅极阈值电压附近显著的非线性特性,该非线性解释了上述复合等式(1)中的下降沿时间tf。图4所示由图3计算出来的正向跨导。很显然,跨导a是栅极阈值电压之上栅-源极电压的函数。
图5在z轴上给出功耗,在x轴上给出栅极阈值电压Vgth,在y轴上给出MOSFET正向跨导a。该图形表明在5nH的寄生源电感存在的情况下,MOSFET的栅极阈值电压对于整个HS开关损耗(z轴)的重要影响。栅极阈值电压越高,关断损耗便会越低,而且效率也会越高。但是取得这种结果也需要付出代价,较高的栅极阈值电压需要较高的栅极驱动电压,要获得相同的MOSFET导通电阻Rdson,就会导致更高的栅极驱动器损耗。通常增益会超过损耗,并且能获得效率的净增长。正向跨导对关断时的动态损耗影响业很大。跨导的数值越大,功耗就越大,特别是在栅极阈值电压较低时则更大。该现象可作如下解释:正向跨导较大时,源极电感的反电动势必须较小,以来维持漏极电流,而较小的正向跨导会产生较大的电动势,产生较短的下降沿时间,并产生较低的功耗。
图6描述z轴上功耗、负载电流以及栅极阈值附近MOSFET正向跨导之间的关系。仔细研究图形得出结论:在小于10A的低电流条件下,栅极阈值电压附近的正向跨导的影响很小,而在30A至40A的大电流情况下,MOSFET的正向跨导具有显著的影响。
正如前面所说:这是因为较低的跨导必须有较高的栅-源电压才能使MOSFET传导高的负载电流,较高的栅-源电压可以加速关断MOSFET,从而降低损耗。现代MOSFET 通常拥有非常高的跨导值,因为它们必须以仅仅高于栅极阈值电压2.5V的电压传导数十安培的电流。但是,若要降低MOSFET栅极阈值附近的跨导数值并不容易。
图7 描述z轴上功耗和负载电流IL以及栅极阈值电压Vgth之间的相互影响。可以发现高负载电流和低栅极阈值电压的组合会产生过大的损耗,选择阈值电压稍高的等效MOSFET可方便地进行补救。另一种考虑方法是:如果不得不使用低Vgth的MOSFET,我们应该选择双极栅驱动电路,例如电压在+5V和-5V之间开关,这将显着地改善关断损耗,因为它会迫使源极寄生电感中的反电动势升高至Vgth+5V左右。
本文结论
1. 源极寄生电感控制着MOSFET电流的上升沿和下降沿时间。明显地,电感越小越好,但是MOSFET封装对最小寄生电感有影响,例如SO8为2nH,DPAK和D2PAK则更高。飞兆半导体的功率BGA封装具有优异的性能,但是必须提高PCB布局设计技术。
2. 非线性(栅-源极电压和栅极阈值电压)对开关时间起着主要作用。栅极阈值附近的跨导越低,越能缩短电流下降沿时间。
3. 栅极阈值电压也影响上升沿和下降沿时间,较高的Vgth会缩短下降沿时间但会延长上升沿时间,提高栅极驱动电压可以缩短上升沿时间。
4. 除了提高栅极阈值电压外,还可以使用在正向(接通)和负向(关断)之间转换的双极栅极驱动电路。通过在栅极驱动电路上采用-5V负摆动进行改良。
5. 考虑到所有上述情况,如果寄生源极电感足够大,仅有Miller电荷(Qgd)方面的改进是不会产生任何效果的。为了充分利用Qgd改进的优势,我们必须使PCB布局布线具有最小的走线寄生电感;使用具有最小走线电感的MOSFET封装,如飞兆半导体的功率BGA封装。
6. 上升沿时间通常比下降沿时间短很多,这是由于现有的栅极驱动电压发挥了作用,而在下降沿时“栅极驱动”电压被设置为零。
7. 根据以上结论,我们可设计出最快速和优秀的MOSFET,无需牺牲性能。理想的MOSFET(基于以上观点)具有以下特点:
栅极阈值电压≥3V;Vgth附近非线性部分的跨导应该尽可能的低,在满负荷驱动电压下丝毫不影响跨导;采用独立的源/体引线以及一个栅极引线,以优化栅极驱动。源极引线不承受任何负载电流。BGA封装方式是极好的选择。
8. 双极栅驱动可与以上设计相辅相成,以获得最佳的开关性能。依据开关频率的不同,栅极驱动的正偏移应在5至10V左右,负偏移则应在-3V至-5V左右。
9. 目前对HSMOSFET开关的理解应包含线路寄生电感的影响及其对同步降压DC-DC 转换器开关性能的影响。这些寄生电感也就是封装引线电感和PCB走线电感。
10.HSMOSFET的寄生源电感对开关性能有如下影响:
A.即便栅极电压达到零后(地电平),HSMOSFET会继续导通电流。这是由于寄生电感的负的反电动势将源极拉至相对于栅极的负电平,使得电流自由地流过;
B.漏极电流下降沿时间与电流大小成比例。这会使损耗与n≥1处的Idrain成比例,因此即使最好的MOSFET也会有很大的开关损耗;
C.漏电流下降沿时间与寄生电感值成比例。这为DC-DC转换器可输出最大的功率效率设定了界限,而与HSMOSFET芯片的运作速度无关。
11. 为了达到高开关速度,我们需要如下组件:
A.选用低Qgd的MOSFET;
B.使用短引线封装的MOSFET或PCB短程走线方式,在栅极以及源极之间直接连接栅极驱动器;
C.具有如下性能的栅极驱动器:真正的差分栅-源驱动信号;低输出源电阻和低热阻;极短的上升沿和下降沿时间。
作者:Alan Elbanhawy
飞兆半导体公司
射频工程师养成培训教程套装,助您快速成为一名优秀射频工程师...

