- 易迪拓培训,专注于微波、射频、天线设计工程师的培养
基于升降压转换器的LED照明驱动器设计
当输出电压可能高于也可能低于输入电压时,峰值电流模式控制的非连续升降压转换器是LED驱动器的一个不错选择。但是,采用这种升降压转换器用于驱动器设计时,LED电压的变化会改变LED电流,LED开路将导致输出端产生过高的电压,从而损坏转换器。本文将详细讨论这种应用于LED的转换器设计,并描述多种克服其固有缺点的方法。
发光二极管(LED)的应用已有很多年,随着最新技术的进步,它们正逐渐成为照明市场中强有力的竞争者。新的高亮度LED具有很长的寿命(约10万小时)和很高的效率(约30流明/瓦)。过去三十多年来,LED的光输出亮度每18~24个月便会翻一番,而且这种增长势头还会持续下去,这种趋势称为Haitz定律, 相当于LED的摩尔定律。
![]() |
图1a:LED的并联连接。图1b:LED的串联连接。 |
从电气上来说,LED与二极管类似,它们是单向导电(尽管它们的反向阻断能力并不太好,高的反向电压很容易损坏LED),具有与常规二极管类似的低动态阻抗V-I特性。另外,LED一般都有安全导通时的额定电流(高亮度LED的额定电流一般为350mA或700mA)。通过额定电流时,LED正向压降的差异可能比较大,通常350mA白光LED的压降在3至 4V之间。
驱动LED需要受控的DC电流。为了使LED的使用寿命长些,LED电流中的纹波必须很低,因为高纹波电流会使LED产生较大的阻性功耗,降低LED使用寿命。LED驱动电路需要更高效率,因为总体效率不仅取决于LED,还与驱动电路有关。而工作于电流控制模式的开关转换器是满足LED应用的高功率及高效率要求的理想驱动选择。
驱动多个LED也需要仔细考虑。出于下面两个原因,不推荐如图1a那样并联LED串:由于各个LED的动态阻抗和正向压降不相同,如果没有外部均流电路(如电流镜像),不可能保证流过LED上的电流相同;一个LED出现故障将使LED串断开,致使所有LED电流在剩下的LED串之间分配,这将导致LED串上的电流增大,并可能损坏LED。
因此,更好的做法是将LED串联起来。但该方法的缺点是,如果一个LED出现故障,则整个LED串将停止工作。让剩下的LED串继续工作的一个简单办法是将一个齐纳二极管(其额定电压大于LED的最高电压)与每个(或每组)LED并联, 如图1b所示。这样,任何一个LED发生故障后,其电流都会流到相应的齐纳二极管上,LED串的其余部分仍可正常工作。
基本的单阶开关转换器可分为三类:降压转换器、升压转换器和升降压转换器。当LED串的电压低于输入电压时,降压转换器(图2a)是理想的选择;当输入电压总是低于串输出电压时,则使用升压转换器比较合适(图2b);当输出电压可能高于也可能低于输入电压时(由输出或输入变化引起),则采用升降压转换器(图2c)比较合适。升压转换器的缺点是,输入电压的任何瞬变(可使输入电压升高并超过输出电压)都会导致LED上流过很大电流 (由于负载的低动态阻抗),从而损坏LED。升降压转换器也可代替升压转换器,因为输入电压的瞬变不会影响LED电流。
升降压转换器的工作原理
对于低电压应用中的LED驱动器,升降压转换器是一种不错的选择。其原因有多种,下面列举了其中一部分:它们可用高于和低于输入电压的电压来驱动LED串(升压和降压);很高的效率(很容易到达85%以上);非连续工作模式可抑制输入电压的变化(提供优良的线电压调节);峰值电流控制模式允许转换器调节LED电流,而无需复杂的补偿(简化设计);很容易实现线性和PWM LED亮度调节;
开关晶体管失效不会损坏LED。
![]() |
图2a:降压转换器。图2b:升压转换器。图2c:升降压转换器。 |
但是,这种方法仍有两个缺点:峰值电流受控并采用非连续电流模式的升降压转换器是一种功率恒定的转换器,因此,LED串电压的任何变化都会引起LED电流相应改变;另一个问题是,LED开路状态会在电路中产生损坏转换器的高电压;此外,还需要额外的电路将恒定功率转换器转变为恒定电流转换器,并在无负载情况下保护转换器。
图3为升降压转换器应用电路图,控制器内置了用于设定开关频率的振荡器。在开关周期之初,Q1导通。由于输入电压VIN加在电感上,电感电流(iL(t))开始从零(初始稳定状态)开始上升。

其中,L是电感值。IC通过测量电阻RL两端的电压间接监测电感电流。当该感应电压上升至预先设定的电压值(ipk)时, Q1关闭。开关导通时间(ton)由式(2)确定。

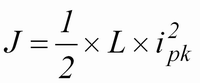
此时,存储在电感内的总能量(J)为

尽管开关关闭,流经电感的电流并不会中断。这会使二极管D1导通,并在电感两端产生输出电压(-VO),这个负电压会导致电感电流迅速下降。

经过时间tOFF后,电感电流趋于零。此时间可通过公式(5)计算:

为使转换器工作在非连续导通模式下,开关导通时间与电感电流下降时间总和必须小于或等于开关周期 TS,这可确保在下一个开关周期电感电流从零开始。

在输入电压最小和输出电压最大的情况下(tON+t)OFF)取得最大值。因此,确保在这些电压下转换器工作于非连续导通模式可保证在任何情况下都能满足公式6所示的条件。
转换器从输入端获得的功率(Pin)可由式(3)乘以开关频率fs得到。

假设LED串电压(VO)恒定且效率为100%,那么LED电流(iLED)为

受在峰值电流控制模式下,ipk是一个固定值。因此,LED电流完全独立(理论上)于输入电压。在固定的ipk下,输入电压的上升(下降)会引起晶体管的导通时间成反比例减少(增加),这将提供很好的线电压调节。在实际应用中,从控制IC检测到电流峰值到GATE引脚实际关断之间的延迟会引起输入功率变化。导通时间比较短的设计会由于延迟时间而出现更多误差,因为延迟时间将会占导通时间的相当大部分。
![]() |
图3:升降压转换器。 |
式(8)也表明LED电流与LED串电压成反比。一个标称输出为20V和350mA的电路将在10V输出电压时产生700mA的电流,这显然不是期望的结果。但是,通过使开关频率与输出电压成正比,式(8)提供了一种将恒定功率转换器转换为恒定电压转换器的方法。假设fs=K×VO,其中K是常数,

这样,LED电流将独立于输入和输出电压。
回扫转换器的另一个缺点是它易受输出开路状态的影响。当LED开路时,存储在电感内的能量在每次开关导通时间的最后都会被转移到输出电容里。缺少供电容放电的负载而导致电容两端的电压逐渐上升,最后超过器件的标称值并损坏功率级。通过增加额外的电路(下部分将介绍)可提供输出电压反馈及过压保护。
输出电压反馈
图4显示了实现过压保护和LED开路保护所需额外电路。
很多峰值电流模式控制器IC具有专用的RT引脚。与该引脚相连的电阻用来设置内部电流,该内部电流用来给振荡器电容(可以是内部或外部)充电。振荡器电容上的斜坡电压控制开关频率,这样,开关频率与RT引脚的输出电流成正比。电阻越小(大),电流就越大(小),开关频率也就越高(低)。基于这一原理,可利用输出电压反馈来调整开关频率。
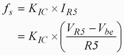
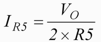
电阻R3和R4构成一个分压器。R4上的电压减去晶体管Q2基极和发射极之间的压降(Vbe)就是R5上的电压。因此,流经R5的电流(IR5)为

该电流是利用匹配的晶体管对从控制IC的引脚RT获得的。因此,

其中,KIC是所选用的控制器的电流到频率的倍增常数。
如果电阻R4上的电压降远远大于Vbe,则(VR5-Vbe)≈VR5,且

图4中的电阻R2用于启动转换器。启动状态下,输出电压为零,因而IR5也为零。由于没有来自控制器RT引脚的电流,转换器无法启动。增加电阻R2可以在启动状态下获得一小部分电流,并使R2的大小满足

其中V(RT)是控制器RT引脚上的电压。这样可确保转换器能够启动,并将R2带来的误差降至最低。
例如,选择R3=R4,式(10)简化为:

这里假定输出电压比Q2的基极-发射极压降大得多。
结合式(8)、(10)、(11)和(14),可以得到输出LED电流为

这样LED电流不再决定于输入或输出电压。
采用电阻R6、晶体管Q3和齐纳二极管D2可增加过压保护功能。在LED开路状态下,当开关导通时,电感存储能量,当开关关闭时,该能量转移到输出电容上。因为没有足够的负载供电容放电,输出电压在每个周期都会逐渐升高。当电压升高到超过齐纳二极管的导通电压时,由D2和R6组成的齐纳二极管分支电路开始导通。这也提供了一条通过Q3基极电流的路径,使Q3导通。此时,电阻R4实际上被短路。因此,Q2的基极发射极的PN结将关闭,导致R5上的电流为零。这将停止控制器的内部振荡直到输出电压降到齐纳二极管电压以下,以上过程继续进行。这种猝发模式可将LED开路状态下的平均功率降至最小。这种过压保护方法将强制控制IC进入低频、低功率的工作模式。
齐纳二极管电阻分支电路上的电流必须能在R6上产生足够大的电压,以便为晶体管基极-发射极PN结提供偏置。
PWM亮度调节
![]() |
图4:带过压保护和输出电压反馈电路的升降压转换器 |
在带有输出电流反馈的开关LED驱动器中,需要反馈补偿来稳定转换器,并调节电流以达到期望的电流值。这些反馈方案的瞬态响应性能是有限的,无法满足LED的PWM亮度调节所需要的快速开/关瞬态响应。然而,本文所描述的转换器并不要求任何反馈补偿。该控制方案所用的唯一反馈信息是通过传感电阻获得的流经MOSFET的峰值电流。因为转换器在每个周期都存储了所需的能量,所以它可以对瞬态做出即时响应。因此它可以很方便地与PWM亮度调节方案一起工作。
本文小结
升降压转换器是低直流电压输入LED驱动器的有效解决方案,无论输出电压高于还是低于输入电压,它都可以驱动LED串。此外,还可在转换器中增加小型而低廉的额外电路以克服负载调节和无负载状态下的问题。该转换器易于实现,在峰值电流模式控制时无需进行反馈补偿设计。它所具有的开环特性也使之成为那些需要PWM亮度调节的应用中的理想选择。
作者:Rohit Tirumala
高级应用工程师
Email:apps@supertex.com
Supertex公司
射频工程师养成培训教程套装,助您快速成为一名优秀射频工程师...





