- 易迪拓培训,专注于微波、射频、天线设计工程师的培养
电能质量控制装置的指令信号检测方法*
摘要: 影响电力系统中电能质量的主要成分是无功功率和谐波电流,为了对其进行补偿,本文给出了基于瞬时功率理论的ip-iq法检测无功功率;对谐波的检测方法不仅可以检测总谐波电流,还能够检测特定次数的谐波电流。本文提出的检测方法能够实时有效地检测出电力系统中的无功功率和谐波。
关键词: 无功功率补偿;谐波检测;动态补偿装置
*陕西省自然科学基础计划项目(2006A12);
2008年5月9日收到本文修改稿。张军利:讲师,研究方向为柔性交流输配电。
前言
在正弦电路中,无功功率的概念清晰,容易理解;在非正弦电路中,有功功率、视在功率和功率因数的定义均和正弦电路相同。有功功率仍为瞬时功率在一个周期内的平均值,而无功功率的情况比较复杂,至今没有被广泛接受的科学而权威性的定义。文献[1]给出了非正弦电路中常见的三种无功功率的定义,各有其应用场合,其中将电力系统中总功率分解成由基波有功电流产生的有功功率、由基波无功电流产生的无功功率以及由谐波电流产生的无功功率三部分的方法在工程上得到了广泛的认可,本文将对无功功率的检测及补偿方法进行深入研究。
谐波检测方法较多:最早采用模拟滤波器法[2],模拟滤波器虽然结果简单,实时性好,但是检测效果不理想,特别是当电网频率波动或电路元件参数变化时,检测效果变得特别差;快速傅立叶变换法[3],对电压信号进行频域分析,分离出谐波分量,该方法的缺点是需要采集一定时间的电流值,并且分析计算还要花费一定的时间,因此该方法有较长的时间延迟,检测的结果实际上是较长时间前的谐波,因而实时性不好;基于人工神经网络理论的自适应方法[4],需要软件运算,难以提高在线检测速度,目前还没有实际应用。
针对于此,本文将给出一种较为理想的基波无功功率和谐波的检测方法,并分析对比各种无功功率和谐波补偿装置的特点。
电力系统中无功功率的检测
电力系统中电网电压无畸变是相对的。当电网电压畸变时,应用瞬时功率理论的ip-iq检测法即使在电网电压畸变时也能准确地检测出无功电流和谐波电流,该方法是基于电网电压基波频率角提出来的,具体变换为:
设三相电路各相电流瞬时值为ia(t),ib(t),ic(t),则,
(1)
(2)
式中ip,iq分别为有功电流和无功电流;q=wt为某一时刻电网电压基波分量的角度。
将ip,iq经过低通滤波器后可得到其直流分量
,再由式(3)可得到三相基波电流,
(3)
当使式(3)中直流分量
时,由此式得到的三相电流为无功补偿装置所需的指令电流。
电力系统中谐波的检测
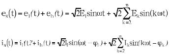
由式(3)可得到三相基波电流,如果从三相电流中减去三相基波电流,则可得到系统的谐波电流,但是上述方法只适用于三相三线制系统。下面介绍另一种基于单相电路检测谐波的方法,设单相电路的电源电压和负载电流分别为:

其中:e1(t),i1(t)分别为瞬时基波电压、电流分量;eh(t),ih(t)分别为所有瞬时高次谐波电压、电流分量之和;j1是e1(t),i1(t)之间的相位差;jk是ek(t),ik(t)之间的相位差。
经过下式变换可得到有功电流ip和无功电流iq:
(4)
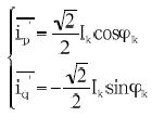
经过低通滤波器后,得到单相有功电流ip和无功电流iq的直流分量分别为:
(5)
则基波电流为:
(6)
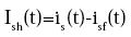
总谐波电流为:
(7)
此方法不仅适用于单相电路谐波电流和无功电流的检测,同样也适用于三相四线制电路谐波和无功电流的检测。
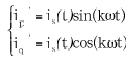
当需要检测第k次谐波电流时,可应用下面公式得到:
(8)
则有:
(9)
(10)
上述方法在实际应用中可用模拟电路实现,也可用数字电路实现。
检测方法的仿真分析
本文仿真是在电力系统中电网电压、电流都有畸变的情况下进行的。其中图1是采用瞬时功率理论的ip-iq检测法得到的a相基波无功电流和谐波电流;图2是单相电路基波无功电流和谐波电流的检测结果。

图1 a相基波无功电流和谐波电流
图2 单相电路无功电流和谐波电流
由仿真结果可见,采用瞬时功率理论的ip-iq检测法可以实时准确地检测三相三线电力系统中的基波无功电流,从而得到系统的无功功率;采用本文提出的单相电路无功电流和谐波电流的检测方法,能够得到三相四线制电力系统中无功功率和谐波电流,而且还可以得到特定次数的谐波电流。本文提出的无功功率和谐波的检测方法为补偿装置指令信号的获得提供了重要的理论基础。
结语
无功功率和谐波的存在对电力系统是非常大的污染,为了提高系统的电能质量,必须对无功功率和谐波进行补偿。文中重点提出了无功功率和谐波电流的常用检测方法,并对其进行理论分析、仿真验证。由仿真结果可见,本文提出的检测方法能够实时有效地检测出系统的无功功率和谐波,为补偿装置的设计做了必要的准备工作,本文所提出的检测方法已经在实验室有了一定应用。
参考文献:
1. 王兆安、杨君、刘进军等,谐波抑制和无功功率补偿,机械工业出版社,2002
2. 邓礼宽、姜新建、朱东起等,APF和SVC联合运行的稳定控制,电力系统自动化,2005(18):29-32
3. 钱昊、赵荣祥,基于插值FFT算法的间谐波分析,中国电机工程学报,2005(21):87-91.
4. 张林利,王广柱. 一种基于人工神经网络的谐波测量新方法,电力系统及其自动化学报,2004(2): 40-43
5. 周方圆、罗德凌、唐朝晖,单相电路谐波电流实时检测的新方法研究,电气应用,2005,(11):73-75
6. Akagi H,Satoshi Ogasawara,Hyosung Kim. The Theory of Instantaneous Power in Three-phase Four-wire Systems: a Comprehensive Approach,IEEE Trans on Industry Applications,1999;(1):431-439
7. Fang Zheng Peng, Jih-Sheng Lai. Generalized Instantaneous Reactive Power Theory for Three-phase Power Systems [J] IEEE Trans on Industry and Measurement,1996;45(1):293-297
8.杨万开、肖湘宁、杨以涵等,基于瞬时无功功率理论高次谐波及基波无功电流的精确检测,电工电能新技术1998,(2):61-64
射频工程师养成培训教程套装,助您快速成为一名优秀射频工程师...

