- 易迪拓培训,专注于微波、射频、天线设计工程师的培养
电机控制用小功率稳压电源的设计
O 引言
永磁无刷直流电机是目前具有新原理、新工艺、新方法的新型电机,它是由永磁无刷直流电机本体(BLDCM)、转子位置传感器(RPS)和控制器(CU)三部分组成的机电一体化系统。该电机克服了有刷电机的诸多弊端,因此,近年来发展很快,已应用在很多领域。
控制用电源主要是给控制器的各种芯片提供电能,一般采用将系统外部输入电压经过高频DC/DC隔离式开关电源变换成多路电压输出后给控制器芯片供电。控制用电源功率较小,但要求简单可靠、稳定性好。传统的开关电源采用分立元器件,存在电路复杂、效率低、可靠性差等缺点。美国PI(Power Integration)公司推出的TOPSwitch-Ⅱ系列开关电源专用集成芯片能很好地解决这些问题,它的上作频率为100kHz,外围电路简单、电磁干扰小、成本低廉,能有效地减小控制器的体积和重量,并增强系统工作的可靠性。因而本设计选用其中的TOP224Y芯片构成单端反激式开关电源作为控制器电源。
l 单端反激式变换器基本工作原理
单端反激式变换器又称电感储能式变换器,其变压器兼有储能、隔离双重作川。图l为其电路原理图。所谓单端,指变压器磁芯仅工作在其磁滞回线的一侧。当高压开关管S1导通时,直流输入电压V1加在原边绕组Lp两端,在变压器原边电感线圈中储存能量,由于副边绕组相位为上负下正,使二极管D反偏而截止,副边回路无电流流过,此时电源能量转化为磁能存储在电感中。当S1截止时,原边电压极性反向,使副边电压极性反转过来,从而二极管D导通,储存在变压器中的能量传递给负载,同时给输出电容C充电,此时磁能转化为电能释放出来。当开关管重新导通时,负载电流由电容C来提供,同时变压器原边重新储能,如此反复。从以上电路分析可以看出,S1导通时,副边回路无电流;S1截止时,副边回路有电流,这就是称之为“反激”的含义。

2 电路原理与设计
2.l TOP224Y的主要特性
TOP224Y是TOPSwitch-Ⅱ系列集成芯片中的一种,是典型的三端器件,三个管脚分别为控制极C源极S和漏极D,其内部MOSFET耐压值高达700V。它具有宽电压输入范围(交流输入电压可达85~265V),AC/DC变换效率可达90%。它将功率开关管与其控制电路集成于一个芯片内,并具有自动复位、过热保护和过流保护等功能。由于它有很高的集成度和完善的保护电路,因而用它构成的开关电源外围元器件数目少、电源体积小、可靠性高,这些特点非常适合于用来设计小功率辅助电源。
图2是其内部结构框图。当系统上电时,漏极D变为高电位,内部电流源开始向C端供电且片内开关在O位,给并接在C、S极的外接电容(如图3中的C2)充电,当充电到5.7V时,自动重启动电路关闭,片内开关跳到l位。TOPSwitch进入正常工作状态,输出PWM波驱动内部MOS管工作。此后,Ic改由反馈电路提供。控制端电压Uc经过Zc、P沟道场效应管和电阻RE分压后,获得反馈电压Uf加至误差放大器的反相输入端。误差放大器将Uf与5.7V基准电压进行比较之后,输出误差电流If,当If流过电阻RE时,就在其上形成误差电压,以此和锯齿波电压进行比较,调节脉冲占空比。由以上分析可看出,TOPSwitch-Ⅱ属电流控制型开关电源,由控制端电压Uc提供偏压,控制端电流Ic调节占空比。

2.2 主电路工作原理
图3所示为本文设计的基于TOP224Y的反激式控制器辅助电源电路图。输入电压为直流160~220V,输出为一路+5V电压和两路瓦相隔离的+15 V电压,设计功率为5W。

电路中D1为TVS(瞬态电压抑制器),D2为超快恢复二极管,D1和D2组成箝位保护电路,用于对高频变压器由于漏感而产生的尖峰电压进行箝位和吸收,从而保护功率MOSFET。副边电压经D3、C3整流滤波后输出+15V电压给脉宽调制芯片供电并经线性稳压芯片LM7805降压后输出+5 V电压,给逻辑合成芯片供电,采用LM7805不但省去了多绕一个+5V输出的副边绕组,而且输出电压性能稳定,纹波更小。
由于对输出电压的精度要求小是很高,故反馈电路采用配稳压管的光耦反馈电路。电路利用输出电压的变化引起光耦中LED的电流If的变化来控制TOP224Y的控制极电流Ic,从而调节占空比D,改变PWM宽度,达到稳定输出电压的目的。比如,由于某种原冈U0↑,则光耦LED的电流If↑,经光耦传输后,接收管电流Ice↑,故TOP224Y的Ic↑,而Ic与占空比D成反比关系,故D↓,导致U0↓,实现了稳压;反之,U0↓→If↓→ICE↓→Ic↓→D↑→U0↑,同样达到了稳压的作用。
反馈绕组的输出电压经D4、C4整流滤波后,给光耦的接收端提供偏置电压,同时作为另一路+15V电压输出给专用驱动芯片供电,电路中C2是旁路电容,其作用有三个:滤除控制端上的尖峰电压;决定自动重启动频率;与R1构成控制环路的补偿电路。
2.3 高频变压器的设计
由于外围元器件少,所以设计的关键是变压器。单端反激式变压器工作在磁滞回线的第一象限,磁芯同时加有交流和直流,变压器磁芯磁感应强度变化量△B变化很小,为了防止磁芯饱和,一般采用加气隙的方法,这就增加了变压器设计的难度。下面给出设计中变压器参数的计算方法。
本设计反激式变换器采用不连续导通工作方式(DCM),取最大占空Dmax=0.4,变压器选用锰锌铁氧体R2KB磁芯,其导磁率高达2000μi,饱和磁密BS值为480mT(25℃时),经计算选用E1-22磁芯,其有效截面积为42m㎡,取△B=O.15T。
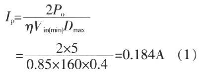
2.3.1 计算原边最大电流Ip

式中:Po为输出功率;
η为变换器效率;
Vin(min)为输入最小直流电压;
Dmax为最大占空比。
2.3.2 计算原边电感量Lp

式中:ton为开关管导通时间,ton=DT。
TOP224Y的工作频率为100kHz,所以T=1/f=10μs。
2.3.3计算气隙长度lg

式中:Ac为磁芯的有效截面积(mm2);
Bm为最大磁感应强度(T)。
2.3.4 计算原、副边及反馈绕组匝数

反馈绕组匝数:NF=NS=16
以上绕组匝数均为取整后的数值。
2.3.5 验算磁芯的△B

故前面选择的磁芯是合适的。
2.3.6 导线的选择和变压器绕制
本设计由于原、副边电流均很小且考虑绕制方便,通过计算选用φO.3lmm漆包线绕制变压器。为了减少漏感,变压器绕组应同轴分布,绕线采用夹层(三明治)绕法,即:一半原边绕组52匝(里层)+次级绕组16匝+另一半原边绕组53匝+反馈绕组16匝(外层)。各层间夹绝缘胶带,绕完后最外面再用绝缘胶带包扎,用环氧树脂胶将磁芯和骨架粘接牢靠。
2.4 反馈回路参数确定
为了实现线性调节占空比,控制脚电流IC应在2~6mA之间,而IC是受光耦发光管电流If控制的,由于PC817是线性光耦,二极管正向电流If在3mA左右时,三极管的集射电流Ice在4mA左右,而且集射电压在很宽的范围内线性变化。因此一般取PC817发光管正向电流If为3mA。
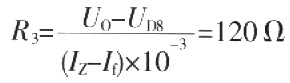
本设计反馈电路中D8采用击穿电压为13V的稳压管IN4743。由于光耦PC817中LED的正向压降为Uf≈1.2V,所以

IN4743稳定电流IZ的典型值为20mA,R2支路只能供给大约3mA电流,为此,利用电阻R3提供另一路约17mA的电流,同时作为一部分假负载用于改善轻负载时的稳压性能。所以可求得R3阻值为

3 实验结果及分析
根据以上分析和计算,进行了样机的制作和试验,图4、图5分别为输入电压为160V时+5V和+15 V的输出电压波形,纹波电压小于3%。图6、图7分别给出输入电压在160V和89.5V情况下,输出功率4.5W时TOP224Y漏极电压Ud波形,可以看出,在输入电压大范围变化时,系统跨越断续模式和连续模式两种工作状态,并且测量输出电压稳定。实验结果表明,该电源工作在满载状态时,效率达81%,电压调整率、负载调整率和纹波满足控制电路对电源电压的要求,系统工作稳定。

4 结语
无刷直流电机是机电一体化产品,其中控制器是该电机能否正常工作之关键,它决定着电机的电子换向规律、正/反转可逆运行和功率能流的有效调控,因此,控制器用稳压电源的设计也显得尤为重要。本文采用TOPSwitch集成芯片所研制的小功率辅助电源经测试表明,其性能稳定、可靠性高且具有较强的抗干扰能力。
射频工程师养成培训教程套装,助您快速成为一名优秀射频工程师...
天线设计工程师培训课程套装,资深专家授课,让天线设计不再难...
上一篇:基于bqTINY-II的便携式电子心音检测仪电源管理模块设计
下一篇:中科院化学所成功研制出新型高性能锂离子电池负极材料

