- 易迪拓培训,专注于微波、射频、天线设计工程师的培养
基于CSU8RP1001的太阳能衡器应用设计
CSU8RP1001是芯海科技最新推出的集成了24位高速、高精度ADC的8位 RISC架构太阳能衡器专用SoC(系统芯片)。芯片结构如图1所示,具有4k×16位的OTP(一些可编程)ROM程序存储器,同时也可做用户数据保存使用。此款芯片除具有4×14 LCD驱动、内置温度传感器、看门狗、定时器等常用配置外,还集成了一个针对微弱电流供电场合(如:太阳能电池、射频感应供电等)的智能电源管理模块,此模块是当储能电容上的电压达不到正常工作电压时,具有完全关闭芯片内部电路功能,防止内部电路在低电压下存在不稳定状态,引起漏电现象,确保从太阳能电池获取到的微弱电量都存储到电容上,当储能电容电压达到正常工作电压时,则会自动将储能电容上的电量送到每个电路模块。另外整个太阳能衡器系统的外围元器件只需廉价的12个普通电容。

低功耗高精度实现原理
传统衡器系统中,传感器和芯片测量模块占据了90%以上的功耗,因此,采用高速脉冲供电,减少测量时间是降低衡器系统功耗的关键。芯海的CSU8RP1001芯片实现了高速高精度测量上的突破,当ADC 输出速率为7.8kHz,PGA(可编程增益放大器)=68,Vref=2.3V时,有效位仍然达到15.5位。此核心ADC单元高速高精度的特性,使得采用高速脉冲测量成为可能,大大降低了系统的平均功耗。
传统衡器的MCU内核和LCD驱动模块消耗的电流虽然很小,但对于太阳能衡器微安级的供电电源来说,也是非常之大。CSU8RP1001在LCD驱动模块上采用创新的电荷交换方法获取LCD偏置电压,使此模块消耗的电流低于1µA,却能驱动较大尺寸的液晶显示器。MCU内核一般工作的频率越低则消耗的电流越少,但芯海科技则不然,通过高速的方式来降低每MHz的电流消耗。
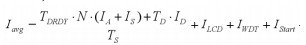
基于CSU8RP1001设计的太阳能衡器,整机工作电流计算工式如下:
![]()
TDRDY:AD输出的间隔时间;
N:完成一次测量所需的AD笔数;
IA:模拟部分电流;
IS:传感器消耗的电流;
TD:数字部分的工作时间;
ID:数字部分的工作电流;
TS:间隔多少时间测量一次;
ILCD:LCD模块电流;
IWDT:看门狗模块电流;
IStart:智能电源管理模块电流。

在各种测量模式下的消耗电流对照情况如表1(以1kΩ阻抗和灵敏度为1mV/V的传感器为例)。
[p]太阳能衡器的应用
采用芯海科技的CSU8RP1001 低功耗高速高精度优点,可以设计出太阳能人体秤和太阳能厨房秤。
(一)硬件设计
图2是太阳能衡器的典型应用原理图。采用3.5V/30µA的非晶硅太阳能电池将光能转换成电能,存储在C12普通电解电容上,然后送到CSU8RP1001内部电源管理模块。当电量达到可供系统工作时,主控芯片会通过VDDO引脚送到DVDD(数字模块)和AVDD(模似模块)供电,系统开始工作。VLCD、V2、V1、LCA、LCB是获取LCD偏置电压的外围器件。CA、CB上的电容是内部电荷泵的外围器件。VS是主控芯片内部稳压输出,除供给内部ADC作参考外,还通过C7滤波后,给压力传感器做激励电压。压力传感器的模拟变化量通过C9、C10、C11的低通滤波后,送至主控芯片的第一路差分输入通道引脚。主控芯片上的COM和SEG引脚是LCD驱动引脚。
(二)软件设计
参数配置:
以设计显示分度2000点的太阳能人体秤为例。为使整机工作功耗小于或等于15µA,将VS稳压电源输出配置成2.3V作为ADC的参考及传感器的电源,ADC的速度为7.8kHz,PGA = 68,指令周期为2MHz。其它I/O等资源根据实际使用情况可以进行任意配置。
软件流程:
太阳能衡器软件流程和传统衡器差异很大,主控芯片CSU8RP1001除LCD驱动模块全速工作外,其它模数模块均处于间隙工作状态。间隙工作的周期通过看门狗定时器来定时实现。流程图如图3,读取4笔A/D值,丢掉前二笔,后两笔进行算术平均,然后进行计算重量并显示,即进入睡眠,等待下一次的测量。
(三)太阳能衡器整机性能
太阳能人体秤的性能参数如下。
● 测量精度:0~180kg的量程,分辨率0.1kg。
● 工作电流:自动上秤待机工作电流小于6µA, 称重时的工作电流≤15µA。
● 若使用3.5V /30µA的太阳能电池供电,则可以在大于光强20 Lux下使用。
太阳能厨房秤:
● 测量精度:1~5000g的量程,分辨率:1g。
● 工作电流:待机工作电流小于4µA,称重时的工作电流≤30µA。
● 若使用3.5V /30µA的太阳能电池供电,则可以在大于光强25 Lux下使用。

(四) 应用注意事项
CSU8RP1001 应用于太阳能衡器,进入睡眠前,需关闭除显示外的所有模块,并设置好I/O口状态,以免有拉电流现象。保存校准数据时,每写完一个Word(字)就要延时10ms。
小结
基于CSU8RP1001开发的太阳能衡器的突出优点是:电路模块比使用国外品牌芯片的成本低30%以上;同时外围器件少,使整机的PCB(印制电路板)尺寸可以很小;整机测量精度同传统衡器一样,而且使用的太阳能电池尺寸同比芯海科技前期推出的CSU1101小30%以上。目前芯海科技可以向客户提供包括软、硬件的完整参考设计,其中此款芯片已在部分大型衡器厂商批量生产。
参考文献:
[1] CSU8RP10XX用户手册.深圳市芯海科技有限公司
射频工程师养成培训教程套装,助您快速成为一名优秀射频工程师...
天线设计工程师培训课程套装,资深专家授课,让天线设计不再难...
上一篇:交流电路的计算公式
下一篇:起重变频调速系统中制动电阻功率的计算

