- 易迪拓培训,专注于微波、射频、天线设计工程师的培养
电源设计中快速完成并-串联阻抗转换的方案
图1:这些电路为一个频率的等效电路。
有趣的是,如果并联组件之一固定而另一个从开路到短路均不同,则这些表达式在Rs/Xs串联层中会形成一些圆。差异可以来自组件值的改变,也可以产生自随频率变化的组件阻抗。图2显示的是这些差异的举例。X轴代表串联电阻,而Y轴代表串联电抗。
此处共有2个圆:一个代表恒定并联电阻,另一个代表恒定电抗。恒定电阻线在X轴附近对称。电抗在开路附近时,阻抗等于并联电阻。由于电抗降低,曲线路径沿圆圈至起点,其在电感分量时为正,而在电容分量时为负。由于电抗降低,曲线趋向于零。在1/2并联电阻距离处,圆以X轴为中心,其半径相同。
另外,需要注意的是,起点和圆上某点的连线的斜率便为该电路的Q。这就是说,最低Q出现时并联电抗的值更大,而最高Q出现时并联电抗较低。关于该圆的另一件有趣的事情是,它可以表明并联谐振L-C-R电路的阻抗。参考恒定并联R曲线,在低频率下,电感阻抗较小,而您开始于起点。随着频率上升,阻抗在首个四分之一圆内为正,直到电容电抗等于谐振电感反应(X轴上的1)。之后,您转入第二个四分之一圆,并绕圆继续。

图2:恒定并联电阻映射为一个圆。
第二条曲线表明固定电抗和并联可变电阻的阻抗圆。它具有同恒定不变R曲线相同的形状,但其以Y轴为中心。
那么该如何使用它呢?在您需要估算电感DC电阻(DCR)和电容等效串联电阻(ESR)对电源滤波器输出阻抗影响程度时,其将会很有用处。图3对此进行了说明。输出阻抗在谐振时达到最高,因此必须首先计算出滤波器谐振频率。下一步,对电感-DCR组合和电容-ESR组合进行串-并联转换。最后,简单地组合三个已为并联的并联电阻。例如,如果您有了一个基本为0 Ohm ESR的47uF陶瓷电容,以及一个50 mOhm DCR的10μH输出电感。谐振频率为7kHz。这一频率下,电感有0.4 Ohm的电抗,从而得到Q为8,而并联电阻为3 Ohm。一种更快速的方法是将特性阻抗((L/C)0.5)用于谐振下的电感电抗。

图3:串-并联转换简化了电路分析。
下次,我们将讨论隔离电源补偿的一些方法,敬请期待。
如欲了解本文章内容及其他电源解决方案的更多详情,敬请访问:www.ti.com.cn/power。
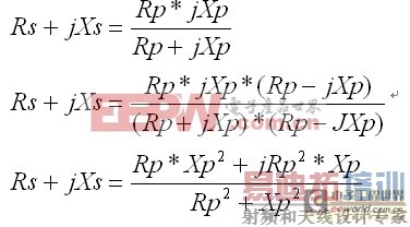
附录1:并联电路的串联转换。
在某个频率下,图1所示的两个电路等效。计算并联部分的串联等效电路:

让实数和虚数项相等,分子和分母均除以Xp2,代入Q=Rp/Xp。

类似地,求解Xs。

射频工程师养成培训教程套装,助您快速成为一名优秀射频工程师...

