- 易迪拓培训,专注于微波、射频、天线设计工程师的培养
一种脉冲调频式飞机交流发电机电压调节器设计研究
录入:edatop.com 点击:
摘要:本文介绍了一种基于集成电路的脉冲调频式航空交流发电机电压调节器的设计方法,给出了具体的硬件电路。结合三级式航空交流发电机进行了调试,调试结果表明,调压系统具有抗干扰能力强、调压精度高的特点。该方法可为各种航空交流发电机电压自动调节的工程实现提供参考。
引言
飞机同步发电机的转速、负载(负载的大小或功率因素)变化时,其电压将随之变化。为保证用电设备的正常工作,就需要通过改变激磁机的激磁电流来调节同步发电机的电压。随着集成电路技术的发展和应用,基于集成电路设计的电压调节器是航空发电机电压调节的发展趋势。
晶体管电压调节器的基本原理
集成运算放大器式的电压调节器以晶体管电压调节为基础,其基本原理如图1(a)所示。图中大功率晶体管BG串联在激磁机激磁线圈Wjj电路中,用来控制激磁机的激磁电流。通过合理设置大功率晶体管的工作条件,使其工作在开关状态,等效电路如图1(b)所示。

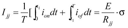
根据功率管导通和截止期间的电压平衡方程可解出ion、iof的表达式,从而可求得在一个工作周期内,激磁电流的平均值为:
(1)
式中,σ为大功率管的导通比,其表达式为:
(2)
在功率管的控制下,激磁电流的平均值Ijj与功率管的导通比σ成正比。只要使功率管导通比随发电机工作状态的变化而作相应的改变,就可以控制激磁机的激磁电流,从而使发电机的端电压在一定范围内可调。而改变导通比的方法有两种,一是改变其分子,保持工作周期不变;一是改变其分母,保持分子不变。这两种方法对应着电压调节器的两种基本形式,即脉冲调宽式电压调节和脉冲调频式电压调节。本文研究脉冲调频式电压调节的设计与应用。

射频工程师养成培训教程套装,助您快速成为一名优秀射频工程师...
射频和天线工程师培训课程详情>>

