- 易迪拓培训,专注于微波、射频、天线设计工程师的培养
高稳定度低纹波直流电源设计方案
1 系统总体方案设计
本设计由降压模块、整流滤波模块、线性稳压模块和低通滤波模块组成, 如图1 所示。变压器将220 V/50 Hz 交流电分别降压到±16 V、±6 V、+6 V, 通过整流桥堆整流以及大容量电容滤波后, 进入正( 负) 线性稳压模块, 再经过低通滤波模块滤除直流以外的干扰信号, 分别输出±15 V、±5 V、+5 V 的稳定电压。
![]()
图1 系统结构框图
2 主要功能模块分析
2.1 整流滤波模块
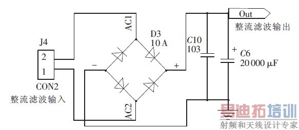
整流滤波电路主要由整流桥堆和大容量滤波电容组成, 如图2 所示。整流桥堆具有体积小巧、输出电流大、安装方便等优势, 并能代替由4 只二极管组成的传统桥式整流电路。滤波电路采用大容量电解电容滤波,增加了输出电压的稳定性。根据式(1) 可求出所需滤波电容容量。

当输出电压为5 V、电流为2 A 时,R=U/I=2.5 Ω, 此时,C= kT/2R =20 000 μF,其中,k=5 。电容耐压Umax≥√2Ui≈24.038 V.其中,Ui=17 V, 因此Umax取值为25 V.在电解电容C6 两端并联一个0.01 μF 的瓷片电容C10 可以有效抑制高频干扰。

图2 桥式整流滤波电路 2.2 线性稳压模块
LT1083/LT1033 系列正负可调稳压器的效率大大高于现有器件,可以提供7.5 A、5 A 和3 A 输出电流,并能在低至1 V 的压差条件下运行,压降在最大电流条件下保证在1.5 V 以内。负载电流减小时允许压差同时减小,可在多种电流水平条件下通过片内修整电路,提供所保证的最小压差,并能够使输出电压准确度调节至1%.其电压调整率为0.015%,负载调整率为0.01%,对电流限值也进行了修整,最大限度地减小了过载条件下稳压器和电源电路上承受的应力,具有热功耗限制保护[10].LT1083/LT1033 系列器件的引脚与老式三端稳压器兼容,与大多数稳压器设计中的10 μF 输出电容器以及PNP 稳压器多达10%的输出电流作为静态电流消耗不同,LT1083/LT1033 系列的静态电流流入负载, 大大降低了电源功耗。此芯片电压调整率小、负载调整率小的特点能够保证输出电压稳定度高。正负线性稳压模块电路如图3 所示,其中R1=R3,R2=R4.电路中的电阻参数可根据输出可调电压公式确定:

其中,Uref=1.25 V,IADJ=50 μA,R1=200 Ω。

图3 正负线性稳压模块电路
2.3 低通滤波模块
低通滤波电路采用LC 滤波电路, 滤波电容为4 700 μF电解电容和0.01 μF 瓷片电容, 能有效减少直流的纹波和高频干扰, 两个33 μH/3A 功率电感并联可以隔离交流并提高输出电流。截止频率:

其中,L=33 μH,C=4 700 μF, 图4 为低通滤波器电路图。

图4 LC 滤波电路
3 电源性能测试
测试仪器采用固纬4 位半数字万用表(GDM-8245) 、上海爱仪交流毫伏表(AS2294D) 和调压变压器(TDGC -0.5/0.5) 。负载电阻采用水泥电阻(2.5Ω/20 W、5Ω/20 W、15Ω/20 W) 。电源性能参数如表1 所示。可以看出, 负载调整率和电压调整率反映出了电源较高的稳定度, 纹波系数指标反映出低纹波特性。
表1 电源性能参数表

传统稳压电源因其电压波动大、效率低、体积庞大等缺点影响了电子产品的各项性能指标。本文设计制作的电源不仅具有高稳定性、低纹波的优点, 而且输出电压可调、电压波动小、带负载能力强、体积小巧。由于本文所设计的电源具有非常小的电压调整率, 一旦设置好电压, 即使电网波动, 电源也能保证输出电压与设置电压相同, 为微弱信号和高频信号的处理提供有力的保障, 不仅能有效地避免在电子竞赛测评时由于更换电源而导致的作品性能指标下降甚至烧毁的事件发生, 而且对于电子线路的各项研究有十分重要的意义。
射频工程师养成培训教程套装,助您快速成为一名优秀射频工程师...

