- 易迪拓培训,专注于微波、射频、天线设计工程师的培养
指针式万用电表中晶体管直流电流放大倍数的测量原理和误差分析
摘要:在指针式万用电表中,测量晶体管直流电流放大倍数是通过直流电流表(通常在1.5V标称电压下,标准量程为5mA)测量的。随着电池电压的减小,通过调节电阻档的零欧姆电位器以使电流表达到满度,由于电流表偏离标准量程,也就造成了测量误差。文中分析了当电池电压从1.65V降至1.35V过程中所产生的误差值。取其中的最大值作为技术指标中的误差值。而一般厂家在技术指标中,没有给出该误差值或精度等级。
1 晶体管直流电流放大倍数的测量原理[1]

基极电流:

因为电池电压随着使用和时间的推移而逐渐减小,故需要能够通过调节使电流表达到满量程,这就要借助电阻挡的零欧姆电位器来实现。如图2所示。

在图2中,转换开关拨至调节位置ADJ,同时将端子﹡与+ 通过表笔短接,调节Rw使表针指示最大值
。再将转换开关拨至测量位置hFE,插上被测晶体管,指针指示数即为其
值。
下面举例说明电流表的参数计算(转换开关拨至调节位置ADJ ,当电池为标称电压Eq时,Rw滑臂在q点,指针满度,即
)。
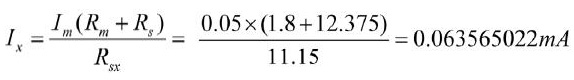
以文献[2]为例,其中心阻值为16.5Ω。表头灵敏度Im=0.05mA、内阻Rm=1.8kΩ、分流电阻Rs=12.375kΩ、电池标称电压Eq=1.5V、最高电压Eh=1.65V、最低电压El=1.35V、电池内阻平均值r1=0.0006kΩ。

注:因为计算误差出现两大数相减情况,为了计算准确,故在以后计算过程中,取8位有效数字。
Rw滑臂拨至a点,流入a点的电流:

Rw滑臂拨至b点,流入b点的电流:

经MATLAB语言编程,运行得到的Rw、Rp、Rd、Rb1及Rb2数值与上述计算结果一致。
2 晶体管直流电流放大倍数测量的误差分析
随着电池电压的逐渐减小,电流表的量程和测得的电流(与直流电流放大倍数成正比)也随之减小,从而使直流电流放大倍数发生误差。在此我们来求取零欧姆电位器的滑臂从b移至a点的不同位置所对应的电池电压和相对误差。
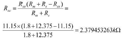
分流电阻值从Rsb至Rsa的变化的某个值,如Rsx=11.15kΩ。计算公式及结果如下:
Rsx与表路并联电阻:
(16)
流入x点的电流:
(17)
电流表内阻:
(18)
Rnx与限流电阻Rd和r1的串联值:

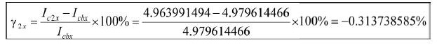
直流电流放大倍数的相对误差:
(25)
当Rsx=10.8kΩ~11.45kΩ变化时,取步距0.05kΩ,使用MATLAB语言编程,运行结果如表1所示。
在表1中,方框中的加深数字:当电池电压EX=1.4939V向上接近标称电压Eq=1.5V时,
、
都接近零值。有下划线的数字:当电池电压EX在1.6653V向下接近最高电压Eh=1.65V时,
、
;当电池电压EX=1.3470V向上接近最低电压El=1.35V时,
。可知,最大相对误差的绝对值为8.6974%,称作第二误差,表为
,也就是说当Ex在1.35V~1.65V之间变化时,相对误差的绝对值不会超过8.6974%。

还有一种误差是表头的基本误差,称作第一误差,记为
。
直流电流档的相对误差为:

其中,
是电流指示值I与满量程电流值(表头灵敏度)Im之比,称作指示相对值。
是电流的绝对误差
与满量程电流值Im之比,称作基本误差,对成品表头已为定数。可知相对误差是随着指示值的不同变化着的。指示值越大相对误差越小。
因为hFE档与电流档都是均匀刻度,故该档的基本误差就是电流档的基本误差。同样该档的相对误差也是电流档的相对误差,即

3 晶体管直流电流放大倍数的测量方法
将转换开关拨至ADJ(调节)位置,将表笔短接,调节零欧姆电位器使表针满度,即最大直流电流放大倍数
,如上例中的
=250。松开表笔,将转换开关拨至hFE,再将被测晶体管插入插座内,表针指示的即为所测的
或hFE值。
4 结束语
晶体管直流电流放大倍数的测量属万用电表的辅助功能。和阻抗测量[3]不同,而与电阻测量[2]类似,晶体管直流电流放大倍数的测量存在两种误差,第一误差和第二误差。从万用电表的设计制作角度来讲,改进表头的制作工艺和电路设计水平,减小直流电流档基本误差,从而也就减小了第一误差。从使用的角度来讲,及时测量电池电压,使之在1.35V~1.65V范围之内,及时更换电池,也能够减小相对误差。
参考文献:
[1]赵宝义. 万用电表[M]. 上海:上海人民出版社,1974:65-78.
[2]吕炳仁. 指针式万用电表电阻测量电路的计算和第二误差分析[J]. 北京:电子产品世界,2015(5).
[3]吕炳仁. 指针式万用电表电感、电容测量原理和误差分析[J]. 北京:电子产品世界,2014年精选实用电子设计100例,2014.12.
本文来源于中国科技核心期刊《电子产品世界》2016年第8期第57页,欢迎您写论文时引用,并注明出处。
射频工程师养成培训教程套装,助您快速成为一名优秀射频工程师...
天线设计工程师培训课程套装,资深专家授课,让天线设计不再难...
上一篇:一种裸眼3D电视系统的设计方案*
下一篇:从零开始,带你认识电源内部的元器件

