- 易迪拓培训,专注于微波、射频、天线设计工程师的培养
为什么在反激式转换器中使用BJT?
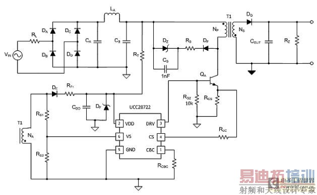
在USB 适配器、手机充电器以及系统偏置电源等大量低功耗应用中,低成本准谐振/非连续模式反激式转换器是常见选择(图1)。这类转换器设计效率高,成本极低。因此为什么不考虑在自己的设计中使用双极性节点晶体管(BJT)呢
这样做有两个非常有说服力的理由:一个是BJT的成本远远低于 FET;另一个是BJT的电压等级比 FET 高得多。这有助于设计人员降低钳位电路和/或缓冲器电路的电气应力与功耗。使用BJT的唯一问题是许多工程师已经习惯于 FET,或是在他们的电源转换器中从来不将BJT用作主开关(QA)。本文将探讨如何估算/计算在非连续/准谐振模式反激式转换器中使用的NPN BJT的损耗。

图1:离线高电压 BJT 适配器反激电路
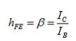
在深入探讨计算 BJT 损耗的方法之前,需要对双极性晶体管模型做一个基本了解。一个双极性晶体管的最简单形式是一个电流控制型电流汲/开关。基极(B)输入可控制从集电极 (C)流向发射极(E)的电流。图2是NPN BJT的概念和原理图。该器件掺杂有两个被P(正电荷原子)掺质区隔开的N(负电荷原子)半导体区。基极与P材料相连,而发射极和集电极则分别连接至晶体管的两个N区域。

图 2:BJT 半导体 (a) 和原理图符号 (b)
基极发射极结点的功能与二极管类似。在基极发射极结点施加正电压,会吸引 N 材料(与发射极(E)连接)的自由电子。这些自由电子迁移到 P 材料中后,会造成 N 材料的自由电子匮乏。N 材料中的自由电子匮乏会从偏置电源(与基极和发射极相连)的负端吸引电子,形成完整电路允许电流通过。B 节点和 E 结点的负偏置会导致多余电子从 P 材料中吸引出来。这会断开电路,阻止电流流动,就像对二极管进行反向偏置一样。
在基极发射极结点处于正向偏置,而集电极至发射极路径为偏置时,这可打开洪流栅极,允许电流流动。连接至集电极的正偏置会吸引自由电子流向集电极端,在N 材料中形成电子匮乏。这可吸引来自基极的电子,将其耗尽在N材料中。现在电流就可流经集电极和发射极的耗尽层,形成完整电路。集电极电流(IC)的数量可能会比基极电流(IB)多好几个数量级。IC与IB之间的比值一般称为晶体管的DC电流增益。在产品说明书中也可表达为Beta(β)或hFE。注意,在晶体管产品说明书中,该比值在特定条件下给出,可能会有明显的变化。

(等式 1)
在饱和状态下工作
当集电极基极电流比被迫低于产品说明书规定的 hFE 值时,晶体管就可定义为饱和工作。在BJT处于饱和状态下时,增加基极电流就不会生成更多的集电极电流。集电极发射极之间的电压也骤跌到了最低水平。这在产品说明书中被称为集电极发射极饱和电压(VCE(SAT))。该电压一般为0.5V 至2V,具体取决于 BJT.在适配器和偏置电源应用中,在BJT用作主开关以保持最低传导损耗时,该器件就可驱动在饱和状态下。
反激设计中的饱和 BJT
(等式 2)
场效应晶体管(FET)是中间功耗范围(30W 到 1KW)的热门选择,因为 FET 的传导损耗普遍小于BJT 的传导损耗。但在偏置电源与适配器等15W 至30W 的低功耗应用中,开关电流较小。因此,BJT 可用于发挥较低成本及较高电压额定值的优势。但这类器件并不完美,在设计过程中需要应对一些不足。
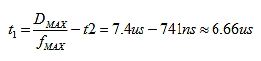
在使用FET 时,栅极只有在栅极电容充放电时才传导电流。在基极发射极结点处于正向偏置时,BJT 一直都在传导。此外,在关断饱和BJT 时,由于存储电荷原因,有相当一部分集电极电流会从晶体管基极流出。这与FET 不同,FET 的栅极驱动器从来不会出现 FET 的漏极电流。这将为反激式控制器的基极驱动器带来更多应力。在为此类设计选择反激式控制器时,应确保其可控制和驱动适配器应用中的BJT。UCC28722 反激式控制器经过专门设计,可控制将BJT 用作主开关的准谐振/非连续反激式转换器。该反激式控制器的驱动器电路详见图3。

图 3:控制器基极驱动器内部电路
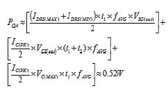
要计算此类低功耗反激式应用中BJT 的功耗情况,需要基本了解BJT 的波形(图 4)。注意,BJT 集电极电压(VC)、集电极电流(IC)以及电流传感电阻器电压(VRCS)可被截断5W USB适配器。基极电流(IB)和输出二极管电流(IDC)只是画出来表现对应的电流,可能不是实际量级。

图 4:准谐振反激式转换器中 BJT 的开关波形
在 t1 时间段的起点,集电极电流为0。基极使用19mA 的最小驱动电流(IDRV(MIN))驱动,该电流可逐步递增至37 mA的最大驱动电流(IDRV(MAX))。由于集电极电流是从0开始的,因此在开关周期的起点为基极提供最大驱动电流既没必要,也无效率。开关保持导通,直至达到最大驱动电流为止,该最大驱动电流可通过控制器控制律确定。初级电流通过电流传感电阻器(RCS)感应。在t1时间段内,变压器(T1 通电,BJT驱动到饱和状态。一旦在t1终点达到所需电流时,就可通过 FET 将 BJT 的基极拉低。此时,所有的集电极电流都将流出晶体管基极,注入DRV控制器引脚(IDRV)。
反向恢复与基极电流的耗尽
在t2时间段,基极集电极结点进入反向恢复,晶体管保持导通,直至基极电流消耗到大约集电极电流的一半。注意,该时间段集电极电流与发射极电流之差即为流经晶体管基极的电流。晶体管保持导通,集电极电流的量级大致保持不变。该时间段也称为BJT存储时间(tS),可在器件的产品说明书上查到。
存储时间结束、t3开始时,晶体管开始关断。在这个时间段内,晶体管PN两个结点都进入了反向恢复。在晶体管关断,集电极电流将耗尽时,基极和发射极共享集电极电流。集电极电压逐渐升高,直至器件完全关断。当BJT 完全关断时,集电极电压达到最大值。该电压是输入电压、变压器反射输出电压以及变压器漏电感造成的峰值电压之和。
在 t4 时间段内,能量不仅提供给二次绕组,而且二极管DG开始传导,从而可为输出提供能量。当变压器的能量耗尽时,集电极电压开始围向接地。该电压可通过辅助绕组的匝数比 (NA/NP)传感。当控制器观察到变压器失电,就可增加t5延迟来实现谷值开关。注意,图4 中的波形只是一个截图,此时转换器工作在近临界传导状态下,正在进行谷值开关。控制器不仅可调节初级电流的频率和幅度,而且还可驱动转换器进入非连续模式,从而可控制占空比。这些转换器的最大占空比发生在转换器工作在设计设定的近临界传导状态下时。
估算 BJT 中传导及开关损耗的计算方法与二极管类似。基极、发射极和集电极饱和电压可按电池进行建模,与二极管正向电压类似。平均电流可用来估算平均传导损耗。在本应用中,计算中涉及的所有电流均为三角形或梯形。平均计算不仅使用基本几何原理,而且还有清楚的记录。主要差别在于 BJT 具有电荷存储延迟(tS)。BJT 晶体管的基极需要在器件开始关断之前,移除一定数量的存储电荷 (QS)。这就需要知道如何计算PN 结点的反向恢复电荷(QR)。反向恢复电荷是指让半导体器件停止传导所需的反向电荷数量。
为了计算BJT 开关(QA) 的损耗,我们来看看使用 NPN 晶体管(工作在 115V RMS 输入下)的 5W USB 反激式转换器。详细规范见表1。峰值集电极电流(IC(PK)通过控制器限制为360mA,转换器最高频率(fMAX)按设计限制在70KHz。在 115VRMS 输入的满负载情况下,该转换器的平均开关频率(fAVG)为56KHz。根据最低输入电压,转换器设计采用的最大占空比(DMAX)为52%。在该输入条件下,最高集电极电压(VC(MAX))为250V。
(等式 3)

晶体管损耗估算
估算晶体管损耗,需要估算图 4 中所示的各个时间段。t1 时间段是最大占空比的时长,对于本设计示例而言大约是7.4us。

(等式 4)
估算t2 时间段,需要计算器件的存储电荷(QS)。
根据产品说明书的tS参数以及基极放电电流(I,存储电荷为 200nC:
(等式 5)
在t1 时间段,该晶体管被驱动为饱和状态。在t1时间段,全部集电极电流均流经晶体管基极。由于基极在t2内进入某种类型的反向恢复,因此集电极电流在晶体管的基极和发射极之间分流。根据这一信息以及电流在该时段内为梯形的特性,t2 存储时间段的平均基极电流(IB(AVGt2))可按以下等式计算:

(等式 6)
有了平均基极电流和QS,t2 时间段可以通过以下等式计算:

(等式 7)

(等式 8)
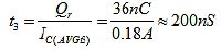
集电极反向恢复电荷(Qr)数量可用来估算开关损耗时间段t3。根据BJT产品说明书,参数Qr的计算结果为36nC。
(等式 9)
按三角形特性,t3 时间段的平均集电极电流(IC(AVGt3))为180mA。该集电极电流和计算得到的Qr 可用来估算t3时间段的时长,在本设计实例中大约为200ns。

(等式 10)
(等式 11)
根据t1 至t3 时间段的时间估算,就可使用等式12计算BJT在115V RMS 输入下的损耗(PQA)。在该等式中,第一组项是BJT正向偏置时的基极至发射极传导损耗。第二组项是估算t1 和t2 时间段中集电极电流所引起的BJT损耗。这包括流经基极的电流。基极到集电极的反向饱和电压按 VCE(SAT)估算。第三组项用于估算 BJT 的关断损耗。

(等式 12)
我们通过评估5W 设计,将时间估算准确性与实际时间进行了对比。
测量到的 t1 时间是6.5us,比估算结果低2.4%。存储时间是660ns(t2=ts),大约比估算值低 11%.测得的集电极上升时间(t3=tR)是210ns,大约比估算值高5%。根据t1 到t3 的测量时间计算出的功耗 PQA 增大到了544mW,比估算功耗高4.6%。注意这些计算依据的是产品说明书的平均存储时间和反向恢复时间。实际时间将随制造、工艺和工作条件的不同而不同。为了安全起见,设计人员应为其总体BJT 损耗估算值增加20% 的裕度。
总结
当第一次接触使用1款BJT设计开关电源时,我很好奇为什么设计人员会使用 BJT 而不是 FET。然而,双极性晶体管具有较低成本和较高电压额定值,是这些低功耗应用的可行选项。正如本文所介绍的那样,只要基本了解双极性晶体管的工作情况和几何构造,就可估算晶体管的传导及开关损耗。
射频工程师养成培训教程套装,助您快速成为一名优秀射频工程师...
天线设计工程师培训课程套装,资深专家授课,让天线设计不再难...
上一篇:UC3842的多输出开关电源设计
下一篇:围观ARM控制的逆变器电源电路设计方案

