- 易迪拓培训,专注于微波、射频、天线设计工程师的培养
堵住泄漏:当心电容器漏电!
最近,一位客户提出了令人费解的电路工作情况问题。
其电路使用一款运算放大器在极低频率下放大扩音器输出。他采用大型 (47 μF) AC 耦合电容器及高输入阻抗 (100 kΩ) 为其测量获得低转角频率。
遗憾的是,运算放大器输出端出现了几乎 1 伏特的大量 DC 失调。这是怎么回事?
我最喜欢的一句名言是丹麦物理学家 Niels Bohr 说过的:“专家就是在一个非常狭窄领域犯了所有可犯错误的人。”我觉得自己还不是一名专家,但这就是我犯过的一个错误。
图1
摘自 TI E2E 社区高精度放大器论坛的客户电路图
其运算放大器输出端出现了大量失调
看看图 1 中的客户原理图,C1 电容器值可为该失调源提供重要的线索。大型电容器(特别是电解质与钽质电容器)可能有极大的泄漏电流。这可导致在输入电阻器 R2 上产生电压,运算放大器会对其进行放大。
要知道泄漏电流来自哪里,我们先来看看电容器的基本结构。
图2
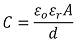
电容器的基本结构为两个间距为“d”的“A”面积电极板
图 2 中的电容器包括两个由一些绝缘物质(蓝色显示)隔开的电极板。该结构中的电容 C 可通过以下方程式计算:
该电容取决于:
- 电介质 εr(εo为自由空间介电常数)的相对介电常数、
- 电极“A”的面积以及
- 他们的间距“d”。
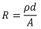
该结构还会产生电阻:
电阻 R 由介电材料“ρ”的电阻系数以及电极面积及其间距决定。可惜没有完美的绝缘介电材料。实际上 Teflon 也只有 1 1023至 1 1025(Ωm) 的有限电阻系数。
R 被称为“绝缘电阻”,与电容并列。此外,提高电容的因素还会导致绝缘电阻的降低。为了说明这种趋势,我还针对几个额定 10 V 电解质电容器,绘制了绝缘电阻与电容的比值图。[1] 见图 3。
图3
在相等电压额定值下,电容器越大,电容器绝缘电阻越低
电容器的绝缘电阻通常取决于电容器的额定电压,但不是所有应用电压都一样。
因此,通过电容器的泄漏电流会因应用电压而发生极大的变化。[2](见图 4)
图4
DC 泄漏在极大程度上取决于应用电压
通常,在 40% 的额定电压下,泄漏电流将降至其额定值的 10%,如图 4 所示。因此,既可提高电容器电压额定值,降低泄漏电流,也可转换至超低泄漏的电解化学类型。[3]
我通常采用聚丙烯薄膜电容器实现低泄漏耦合应用。如果我 真正 需要低泄漏,我就会去我同事 Thomas Kuehl 的办公室借真空电容器(图 5),尽管 47 μF 的真空电容器会很大!
图5
50 pF、20 kV 的真空电容器
在调试电路时,通常原理图上没有诸如耦合电容器绝缘电阻等组件,这就会带来问题。无源组件将在理想模式下工作的假设,只是我从我努力成为一名专家过程中了解到的众多错误之一。我不知道我的下一个错误将是什么。
参考资料:
[1]《招商简介》,Acacia Research 公司(2013 年 2 月);
[2] 《具有导电聚合物的 SMD 固态铝电容器》,Vishay OS-CON,文件编号 90021,2012 年 8 月 28 日;
[3]《钽质电容器应用手册》,位于南卡罗来纳州格林威尔的 Kemet Electronics 公司;
[4] 作者:Williams, Tim,《电路设计人员手册》,位于 Burlington MA 的Elsevier ltd., 2005 年版权所有。
关于作者:John Caldwell 现任德州仪器高精度线性产品部应用工程师,主要负责为运算放大器与工业线性器件提供支持,专门从事针对传感器、低噪声设计及测量,以及电池干扰问题的高精度电路设计。John 毕业于弗吉尼亚理工学院,获电气工程学士学位及硕士学位,主攻生物电子与仪表研究。
射频工程师养成培训教程套装,助您快速成为一名优秀射频工程师...
天线设计工程师培训课程套装,资深专家授课,让天线设计不再难...
上一篇:数控稳压器的特性
下一篇:浅析太阳能逆变器的功能以及分类








