- 易迪拓培训,专注于微波、射频、天线设计工程师的培养
Turbo 均衡在Non-CP SC-FDE 系统中的应用
近年来,随着人们对传输速率的要求越来越高,通信系统逐渐向着宽带、高频谱效率的方向发展。单载波频域均衡(SC-FDE)作为下一代无线通信的关键技术,受到人们广泛的关注。传统的SC-FDE系统为了消除符号间干扰(ISI),发射端需要在时域上周期性的插入保护间隔,即循环前缀(CP);接收端进行信号同步、去CP后,经过傅里叶变换到频域,并通过信道估计在频域对信号进行补偿,再经过傅里叶逆变换到时域,这一过程称为频域均衡。频域均衡技术可以有效的消除多径干扰,但由于需要插入CP,会降低传输效率。为了进一步提高传输效率,人们开始逐渐关注无循环前缀的SC-FDE系统(Non-CP SC-FDE),其中的一个关键问题就是如何在没有CP的情况下消除ISI的影响。为了实现这一目的,可采用循环重构方法,即重构每个数据块前L 个符号的循环特性,再从接收信号中消除这部分码间干扰。
在传统的SC-FDE 系统中频域均衡与信道译码是两个独立的部分,信息没有充分交互利用,导致解调门限偏高。而Turbo 均衡实际上是将信道看做一个串行级联码的内编码器,将译码器输出的软信息反馈给均衡器,并通过多次迭代,在均衡器和译码器之间充分交换信息获得性能上的提高。
本文将Turbo均衡与Non-CP SC-FDE 系统的ISI消除结合起来,通过研究频域均衡频域反馈模型,提出了一种适用于Non-CP SC-FDE系统的均衡与循环重构联合迭代算法既到达了消除多径干扰的目的,又提高了传输效率。
1 SC-FDE 基本原理
SC-FDE 的基本原理是:在发送端串行输入信号经过调制器将数据码流映射到信号的星座上,插入CP,成形滤波后经过无线信道传输;在接收端接收信号进行载波同步、定时同步以及去除CP后,经过傅里叶变换到频域,对频域信号进行均衡,再经过傅里叶逆变换到时域,进行符号判决后得到解调数据。SC-FDE系统原理框图如图1所示。

SC-FDE 信号是分块传输的,通常将一个均衡数据块称为一个Block.当信号经过多径信道后,会产生块间干扰(IBI)和符号间干扰(ISI)。为了最大程度消除ISI,SC-FDE系统需要在时域插入保护间隔结构,一般用原始符号循环拓展作为保护间隔,称为循环前缀(CP)。CP的长度要大于信道的最大多径时延扩展,这样前一个Block的多径分量只会对后一个Block的保护间隔产生影响,而不会干扰到后一个Block 的数据段。
此时的FFT窗口内除了第一径的分量以外,其他多径分量相当于进行了循环移位。由于FFT变换的信号段看作是一个周期性延拓信号中的一个周期,因此多径分量的循环移位,并不影响信号在频域进行估计和均衡补偿。
对于无CP的SC-FDE系统,受干扰的每个符号失去了循环特性,ISI不可避免,可以利用循环重构技术消除ISI.在原有的基础上,通过译码器/判决器反馈的软/硬信息,并联合信道估计的结果去重构由于多径信道而引入的符号间干扰,进而在后次判决或者迭代过程中抵消掉这部分码间干扰,随着迭代和反馈的深入,系统逐步达到收敛,最终获得良好的性能表现。
循环重构可采用TCCR(尾部消除和循环修复)方法,如图2所示。即利用当前观测符号的尾部信息,与信道响应的上三角阵卷积,加回现有观测信号中,从而恢复观测信号的循环卷积特性。

2 Turbo 均衡与循环重构联合迭代算法
Turbo均衡的设计思想是:均衡器在处理经过多径的输入信号的时候,也接收译码器输出的置信度信息,更新均衡输出的软信息,译码器也根据均衡器输出的软信息进一步输出更为准确可靠的置信度信息,如此反复迭代。
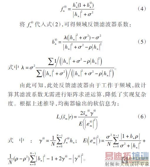
Turbo 均衡可分为时域判决反馈(TDDF)和频域判决反馈(FDDF)两类,其区别在于反馈滤波器和反馈系数更新所在的域不同。因为SC-FDE系统本身采用的是频域均衡,所以更适合采用频域反馈方式,即频域均衡频域判决反馈(FDE-FDDF)。这种方式无需进行矩阵求逆的运算,降低了运算复杂度,有利于系统实现。
2.1 系统模型及数学推导
由于Turbo均衡与循环重构均引入了迭代的过程,可以利用频域均衡频域判决反馈方式将频域均衡和循环重构结合到一起,以相近的计算代价得到性能的提高,其系统框图如图3所示。

频域均衡频域反馈的数学推导如下:
第i 次迭代均衡后的输出表达式为:





射频工程师养成培训教程套装,助您快速成为一名优秀射频工程师...

