- 易迪拓培训,专注于微波、射频、天线设计工程师的培养
工程师自我养成之反激变换器控制环路仿真设计
录入:edatop.com 点击:
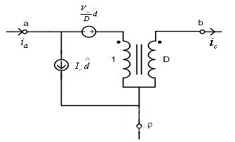
一步一步来,首先进行反激变换器的小信号模型推导,小信号模型推导方法很多,平均开关模型法较为方便,下面简单介绍平均开关模型法。
上图中方框的部分均可以等效为下图,电流连续模式时满足:
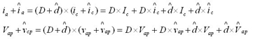
引入小信号可得:
化简可得:
从化简的式子可得到下图:

已给出了变换器抽象出来的等效开关在CCM和DCM的小信号模型,并将等效出的模型代回变换器[以buck-boost为例],给出buck-boost变换器DCM/CCM的小信号模型。
Buck-boost小信号模型推导结果的原因是Flyback和Buck-boost小信号模型非常相似,从Buck-boost的小信号模型可以轻易推导出Flyback的小信号模型。
以CCM为例,将反激变换器等效为Buck-boost变换器,输入电压及电感分别为Vin/n和L/n^2,因此反激的小信号模型为:
具体表达式:
反激变换器的小信号传递函数已经得出,下面进行控制环路设计[峰值电流控制],首先绘制出未加入Gc时,传递函数Gvc的Bode图。
Gvc传递函数的伯德图,MATHCAD绘制结果和Saber扫频仿真结果如下:

接着就要进行环路设计, 反馈回路如下图所示:
反馈回路的传递函数为:
式中CTR 为光耦的电流传输比。
射频工程师养成培训教程套装,助您快速成为一名优秀射频工程师...
射频和天线工程师培训课程详情>>

