- 易迪拓培训,专注于微波、射频、天线设计工程师的培养
基于LabVIEW的地面伽玛能谱仪校准软件的设计
1.引言
地面伽玛能谱测量是利用便携式伽玛能谱仪直接在现场测定土壤、岩石中钾、铀、钍含量的一种核地球物理方法。在解决地球科学、环境科学等领域具有重要作用[4].地面伽玛能谱仪的校准通常采用饱和模型法,目前,仪器校准系数的计算方法大多采用离线工计算,工作繁琐,易出错。为此,笔者针对地面伽玛能谱仪校准的校准系数、灵敏度系数、准确度的计算特点,运用LabVIEW设计出一款自动计算软件。
2.伽玛能谱仪的校准与检验
2.1 灵敏度系数及校准系数的计算
按照规范,伽玛能谱仪的校准方程式如下:

式中,Ik、Iu、Ith分别为谱仪在模型上实测的钾道、铀道和钍道扣除本底后的净计数率;QK、QU、QTh分别为模型中钾、铀、钍扣除本底的模型含量;ai、bi、ci(i=1,2,3)为谱仪的灵敏度系数。
简化形式为:I=AQ,显然:Q=A-1I,A为灵敏度系数矩阵,A的逆矩阵A-1即为谱仪的校准系数矩阵。谱仪灵敏度合格[2]要求为:
Skk>=2.9cps/(%K);Suu>=0.28cps/(ppmeU);Stt>=0.11cps/(ppmeTh)。
2.2 仪器本底
伽玛能谱仪在校准检验过程中,仪器本底对测量结果有很大的影响,仪器本底的测量方法有水面法,铅室法和本底模型法,由于前两种方法和仪器的校准场地缺乏一致性,故本软件采用本底模型法.于前两种方法和仪器的校准场地缺乏一致性,故本软件采用本底模型法.
2.3 含量的计算
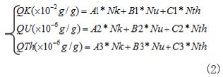
含量计算公式如方程组(2)所示:

式中,Nk、Nu、Nt为用本底模型法扣除的仪器本底计数的钾、铀、钍的净计数率;QK、QU、QTh分别表示被测点的钾、铀、钍含量;Ai、Bi、Ci(i=1、2、3)为仪器相应谱段对应的钾、铀、钍的校准系数。
2.4 准确度检查
使用混合模型验证仪器校准结果的准确性,校准好的仪器在混合模型测得的含量值相对误差要求参考文献[2],低含量的允许误差以绝对误差表示,高含量的允许误差以相对误差表示。
3.软件系统设计
本文选用LabVIEW作为软件开发平台,采用模块化设计理念,软件首先通过读取文件数据,选择模型类型,就可得出校准检定结果。
软件主要部分包括:打开文件、校准/检定结果和含量计算。打开文件部分包括测量数据的读取、标定模型次序的选择和模型推荐含量的显示,其界面如图1所示。
测量数据可以从excel文件中导入,也可以通过接口直接从能谱仪读取。校准/检定结果部分包括校准系数的计算、灵敏度系数的计算、仪器本底的计算、以及灵敏度系数和混合模型准确度检验,其界面如图2所示。含量计算部分能够根据前部分得出的校准系数,进行简单的含量计算。
3.1 模型排序模块设计
通常,谱仪在模型上标定的先后顺序是不定的,导致在对谱仪进行校准检定时,往往需要人工的将标定数据按照一定模型顺序进行排列,增加了分析强度,降低了计算效率。在本系统设计中增加了模型排序模块,只需选择谱仪标定模型的先后顺序,就能够进行后面的计算,此模块采用将“K模型”、“Th模型”、“U模型”、“混合模型”、“本底模型”分别与数字1、2、3、4、5绑定,通过数字按照从小到大的排序顺序,就能将模型排序。采用whlie和for循环结构来对程序进行排序。
3.2 灵敏度系数和校准系数模块设计
此模块通过“求解线性方程”控件得出灵敏度系数矩阵,通过“逆矩阵”控件得出校准系数矩阵。同时,本软件能够自动判定灵敏度和准确度是否合格,若不合格会自动弹出对话框显示具体的哪个测量项目不合格,若合格,则会显示合格,如图2中的弹出对话框所示。主要是通过“显示对话框信息”控件来实现的。
3.3 含量计算模块设计
依次输入测得的钾、铀、钍计数率,单击“计算”按钮,将钾、铀、钍计数率通过“创建数组”控件成为数组,扣除本底后,通过“矩阵A×B”控件与校准系数矩阵进行矩阵运算,就能得出相应钾、铀、钍含量。
4.实例
在四川省核工业某标准体源模型站对一台已经校准好的NP4-2型微机多道伽玛能谱仪进行检验,得到的计算结果与其他软件的计算结果一致,因此本软件计算可靠。
5.结束语
本文利用LabVIEW作为地面伽玛校准系数的软件开发平台,该系统具有友好的用户界面,快速的数据处理能力。系统设计容易,灵活性和可扩充性强。本文的主要创新点包括:
(1)模型选择模式极大限度的避免因人工操作引入的计算误差。
(2)利用LabVIEW作为软件开发平台,实现地面伽玛校准系数、灵敏度系数、准确度计算等多种功能。并通过实例应用,证明该软件设计可行。对于地面伽玛能谱校准检验具有一定的借鉴意义。
射频工程师养成培训教程套装,助您快速成为一名优秀射频工程师...
天线设计工程师培训课程套装,资深专家授课,让天线设计不再难...
上一篇:家用开关电源电路
详细
解
下一篇:简化的离线式开关电源设计的研究

