- 易迪拓培训,专注于微波、射频、天线设计工程师的培养
电源设计小贴士12:电源效率最大化
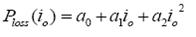
在《电源设计小贴士 11》中,我们讨论了如何利用泰勒级数 (Taylor series) 查找电源中的损耗源。在本篇电源设计小贴士中,我们将讨论如何使用相同的级数最大化特定负载电流的电源效率。在《电源设计小贴士 11》中,我们建议使用如下输出电流函数来计算电源损耗:

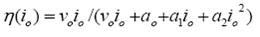
下一步是利用上述简单表达式,并将其放入效率方程式中:

这样,输出电流的效率就得到了优化(具体论证工作留给学生去完成)。这种优化可产生一个有趣的结果。
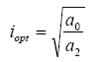
当输出电流等于如下表达式时,效率将会最大化。

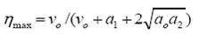
需要注意的第一件事是,a1 项对效率达到最大时的电流不产生影响。这是由于它与损耗相关,而上述损耗又与诸如二极管结点的输出电流成比例关系。因此,当输出电流增加时,上述损耗和输出功率也会随之增加,并且对效率没有影响。需要注意的第二件事是,最佳效率出现在固定损耗和传导损耗相等的某个点上。这就是说,只要控制设置 a0 和 a2 值的组件,便能够获得最佳效率。还是要努力减小 a1 的值,并提高效率。控制该项所得结果对所有负载电流而言均相同,因此如其他项一样没有出现最佳效率。a1 项的目标是在控制成本的同时达到最小化。
表 1 概括总结了各种电源损耗项及其相关损耗系数,该表提供了一些最佳化电源效率方面的折中方法。例如,功率 MOSFET 导通电阻的选择会影响其栅极驱动要求及 Coss 损耗和潜在的缓冲器损耗。低导通电阻意味着,栅极驱动、Coss 和缓冲器损耗逆向增加。因此,您可通过选择 MOSFET 来控制 a0 和 a2。
损耗系数 | 举例 |
a0 | 偏压损耗 Coss 损耗 内核损耗 缓冲器损耗 栅极驱动损耗 |
a1 | 二级管结点损耗 开关损耗 逆向恢复损耗 SR 停滞时间损耗 |
a2 | FFT 电阻 损耗 绕组损耗 漏电感 损耗 蚀刻损耗 电容器纹波 l 损耗 电流感应损耗 |

需要最小化该表达式中的最后两项,以最佳化效率。a1 项很简单,只需对其最小化即可。末尾项能够实现部分优化。如果假设 MOSFET 的 Coss 和栅极驱动功率与其面积相关,同时其导通电阻与面积成反比,则可以为它选择最佳面积(和电阻)。图 1 显示了裸片面积的优化结果。裸片面积较小时,MOSFET 的导通电阻变为效率限制器。随着裸片面积增加,驱动和 Coss 损耗也随之增加,并且在某一点上变为主要损耗组件。这种最小值相对宽泛,从而让设计人员可以灵活控制已实现低损耗的 MOSFET 成本。当驱动损耗等于传导损耗时达到最低损耗。

图 1 调节 MOSFET 裸片面积来最小化满负载功率损耗
图 2 是围绕图 1 最佳点的三种可能设计效率图。图中分别显示了三种设计的正常裸片面积。轻负载情况下,较大面积裸片的效率会受不断增加的驱动损耗影响,而在重负载条件下小尺寸器件因高传导损耗而变得不堪重负。这些曲线代表裸片面积和成本的三比一变化,注意这一点非常重要。正常芯片面积设计的效率只比满功率大面积设计的效率稍低一点,而在轻载条件下(设计常常运行在这种负载条件下)则更高。

图 2 效率峰值出现在满额定电流之前
下个月,我们将会讨论利用增加开关频率来减小磁性大小的一些局限性,敬请期待。
如欲了解这方面及其他电源解决方案的更多详情,敬请访问:www.ti.com/power-ca。
电源设计小贴士系列
电源设计小贴士系列之 1:为您的电源选择正确的工作频率
电源设计小贴士系列之 2:驾驭噪声电源
电源设计小贴士系列之 3:阻尼输入滤波器系列之第 1 部分
电源设计小贴士系列之 4:阻尼输入滤波器系列之第 2 部分
电源设计小贴士系列之 5:降压—升压电源设计中降压控制器的使用
电源设计小贴士系列之 6:精确测量电源纹波
电源设计小贴士系列之 7:高效驱动 LED 离线式照明
电源设计小贴士系列之 8:通过改变电源频率来降低 EMI 性能
电源设计小贴士系列之9:估算表面贴装半导体的温升
电源设计小贴士系列之10:轻松估计负载瞬态响应
电源设计小贴士系列之11:解决电源电路损耗问题
射频工程师养成培训教程套装,助您快速成为一名优秀射频工程师...

