- 易迪拓培训,专注于微波、射频、天线设计工程师的培养
一种摄像头自动聚焦方法及硬件实现
传统的自动聚焦可分为主动式自动聚焦和被动式自动聚焦两类。主动式自动聚焦是利用发射红外线或超声波来度量被摄物的距离,自动聚焦系统根据所获得的距离资料驱动镜头调节像距,从而完成自动聚焦;被动式自动聚焦是通过接受来自被摄物的光线,以电子视测或相位差检测的方式完成自动聚焦。
随着计算机技术的发展和数字图像处理理论的日益成熟,自动聚焦技术进入一个新的数字时代,越来越多的自动聚焦算法基于图像处理理论,改变以往用测量相机与被摄物体之间的距离来进行聚焦的方法。传统的方法不仅使系统庞大笨重,而且有时还不准确。数字图像处理理论认为,图像聚焦程度(即图像是否清晰)主要由光强分布中高频分量的多少决定。高频分量少则图像模糊,高频分量丰富则图像清晰,在空域表现为图像的对比度变化明显[1]。本文就是利用这一特点,提出了一种改进的灰度差分法作为图像清晰度评价函数实现自动聚焦系统的方法。实验表明,该系统成本低、聚焦速度快,且效果良好、应用范围广泛。
1 图像清晰度评价函数
理想的图像清晰度评价函数应该具有以下特性[2]:(1)无偏性,即只有在聚焦处评价函数才取极值;(2)单峰性,即评价函数只有一个极值点;(3)高信噪比,即在较高的干扰条件下,保证系统能够正确检测到离焦信号;(4)计算量小,即能通过较少的计算,快速得出评价函数的结果。
1.1 传统的图像清晰度评价函数
传统的评价函数分为以下几类:
(1)灰度变化函数。聚焦图像比离焦图像包含更多的灰度变化,这样图像灰度值的变化可以作为评价函数。
(2)梯度函数。在图像处理中,图像梯度可以用来进行边缘提取。离焦量越小,图像边缘越锋利,应该具有很大的图像梯度值。因此,图像的梯度变化也可以作为评价函数。 (3)图像灰度熵函数。聚焦图像的信息熵要大于离焦图像的信息熵。因此,图像的灰度熵也可以作为评价函数。
(4)频域类函数。这类函数主要基于傅里叶变换,傅里叶变换的高频分量对应着图像边缘,而聚焦图像总是具有锋利的边缘,即包含着更多的高频分量,这样可以根据图像傅里叶变换后高频分量含量的多少作为评价函数。
1.2 改进的图像清晰度评价函数
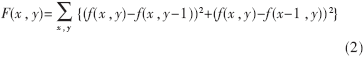
常用的聚焦评价函数有以下几种方法:高频分量法、平滑法、阈值积分法、灰度差分法、拉普拉斯像能函数等。这里主要介绍灰度差分法。灰度差分法[3]是一种形式简单但很有效的聚焦评价函数,它利用图像的相邻像素差的绝对值之和作为聚焦评价函数,即: 
当图像聚焦清晰时,F(x,y)最大。
但是,对于亮度变化比较均匀的图像,灰度差分法计算所得的数据值之间差异较小,经常出现不符合单调要求的点,其聚焦效果不好,不能明显反应出镜头在不同位置上获得的图像质量。因此,本文提出了一种改进的方法作为图像的清晰度评价函数,即将一场图像所有像素的亮度值与周围相近像素的亮度值差的平方和作为图像的聚焦评价函数,计算相邻同场图像评价函数的值,根据比较结果由单片机控制步进电机的转动方向和步数,从而实现自动聚焦。实验表明,该方法很好地解决了灰度差分法经常出现不单调的缺点,聚焦效果良好。改进的聚焦评价函数如下:
[p]
其中:f(x,y)表示为第x行、第y列像素的亮度值。本算法选取了邻近的两个像素作比较(像素分别是f(x,y)像素的左侧和上侧),与灰度差分法相比,有着更好的单峰、单调和对称性。
2 自动聚焦系统的组成和原理
本系统主要由CCD摄像机、带步进电机的光学镜头、FPGA和单片机控制电路组成。CCD摄像机采用SONY公司推出的 SONY47W CCD 套件,该套件支持的最高分辨率为752×582并支持ITU-REC656 YUV数字信号输出。系统整体框图如图1所示。

系统上电复位后,DSP接收CCD图像传感器输出的模拟视频信号,并对该信号进行A/D转换、白平衡和亮度/色度等处理后,转换成YUV数字信号输出。在行、场及像素时钟信号的控制下,把亮度信号(Y)输入到FPGA中,FPGA统计相邻两场图像的亮度信号,并按照本系统提出的图像清晰度评价函数对图像进行分析、比较,并把比较结果输入到单片机中。单片机根据比较结果,通过步进电机的转动方向和步数来控制光学镜头,从而实现自动聚焦。
在自动聚焦系统中,搜索策略通常采用盲人爬山比较法[4]。首先取得起始位置的图像,并计算出此时的评价函数值;然后,让步进电机驱动镜头从起始位置向上移动一步,将此时的图像与前者比较。若比前者的聚集评价函数值大,就继续向上移动调焦镜头;如此循环,直至图像的聚焦评价函数值小于前一位置,则前一位置就是图像最清晰的位置,聚焦结束。该算法简单,但在实际应用中,由于图像采样、量化及传输过程中各种干扰引起的图像噪音影响,经常会出现误判。因此,本文采用了一种改进的盲人爬山比较法,称为“三点”比较法。该方法在确定镜头位置时,不是仅根据前后2 次聚焦评价值的大小来确定,而是用3 个点大小的变化确定曲线的方向,最终确定镜头位置。为了叙述清楚,用f1、f2、f3分别表示镜头在不同位置时的聚焦评价函数的值,这里只分析f1>f2时可能出现的情况(当f1f2时,先不进行判断,而是把结果保存起来,让步进电机继续驱动镜头向原方向移动到位置f3;如果f2>f3,则可以确定聚焦曲线是下降方向,此时,让步进电机驱动镜头到f1位置;如果f2f3,则认为出现“错误”点,不做判断,让镜头再向前运动到f4,再对f2、f3、f4进行三点判别,得到正确的聚焦位置;如果f2
3 实验数据分析
为证实所提出的评价函数的有效性,对该系统进行了大量实验,并与灰度差分法所获得图像进行比较。图2、图3是以简单的文本图像为例,在聚焦点附近算法改进前后各测得的20组聚焦值并据此绘制的聚焦评价函数曲线。图4、图5分别是算法改进前后,采用本系统所拍摄的聚焦图像。

[p]

可以看出,改进算法后在聚焦点附近曲线尖锐,与相邻两个聚焦位置的亮度差更大,并且有着更好的单调性。实验表明,在同样的搜索策略下,改进后的算法比改进前更能适用于多种画面,尤其是亮度比较均匀的图像,有着更高的精确性。
本文提出了一种基于数字图像处理的自动聚焦方法,并应用该原理设计了一种摄像头自动聚焦系统。实验结果表明,该系统调焦机构简单,聚焦速度较快,易于硬件实现。
射频工程师养成培训教程套装,助您快速成为一名优秀射频工程师...

