- 易迪拓培训,专注于微波、射频、天线设计工程师的培养
非接触通用供电平台多负载解谐控制方法研究
0 引 言
ICPT(Inductively Coupled Power Transfer)供电系统作为一种新型的非接触电能传输系统,以非接触的感应耦合方式可以实现各种功率水平的电能传输。由于其供电端与用电设备相互分离,不存在摩擦与磨损,避免了诸如滑动磨损、接触火花、碳积和导体不安全裸露等所带来的安全隐患,越来越受到一些易燃、易爆的化工、采矿等行业的青睐,也为新型非接触充电设备的设计提供了广阔的发展前景。目前已有电动汽车非接触充电、煤矿有轨运输车、个人剃须刀、人体医学植入等成功应用的报道,且大多集中在针对单个负载情况下系统的电路设计,原副边的补偿结构,系统的谐振频率与系统稳定等问题展开研究,本文以非接触通用供电平台为例研究多负载情况下系统的功率控制问题。
所谓非接触通用供电平台,是指通过一个平板以放置的方式向诸如手提电脑、台灯、手机、CD机、MP3播放器、电子词典等用电器单个或同时多个供电的装置。由于供电的非接触特性和放置负载的灵活性,有着广阔的应用前景。本文基于非接触通用供电平台多负载情况下的拓扑结构,建立数学模型并分析单个负载存在突然变动或者负载变动较大,可能带来整个系统崩溃的严重后果,提出一种自维持的动态解谐功率流量控制方法。其基本原理就是:根据负载对功率流量要求的变化,自动地改变拾取端电感或电容的值,使电路脱离谐振状态,调整负载端的输出电压。当单个或其中某几个负载突然出现重载或轻载时,系统能够自动对该负载解谐,而当该负载恢复正常状况时,又能够使系统工作于谐振状态,且又不需要外部控制电路来实现。自维持的动态解谐控制与传统的控制方法如开关短路控制、线性调整器控制等相比有几个非常突出的优点:
(1)比传统的拾取端控制方法的效率更高。主要是因为该控制方法能够智能的实时控制流入负载的功率流量。在开关短路等控制方法中多余的功率以热量的形式耗散掉,而动态解谐控制能够根据需要的大小自动地调整流入负载的功率流量,使电源供给的功率刚好满足负载的需要。
(2)能够适应运行频率的小幅波动。传统的拾取侧控制方法假定拾取侧的工作频率等于原边的运行频率,同时也假定该系统运行是不分叉的,也就是不会出现多值现象。但实际当中,分叉现象的出现与频率波动有很大关系。但动态解谐控制不会受系统频率较小波动影响,它的解谐点能够随着运行频率的波动做同向的移动。
(3)改善功率的分配管理。在输入功率受限的ICPT系统应用当中,动态解谐控制能够把功率根据负载的需要大小合理分配,额外的功率同时又可以供电平台上的其他用电器供电,从而降低了原边上的功率要求。动态解谐控制尤其适合控制功率存在突然变动或者负载变动较大的设备。
(4)不需要额外的电压调整器。动态解谐控制能够把负载上的输出调整到一个期望的水平等级,也就省去了额外的电压调整过程。此外,比线性的电压调整器又具有更大的灵活性,可以比较方便地设定电压输出值的大小。
1 典型的非接触通用供电平台
基本的电流馈送并联谐振型非接触通用供电平台如图1所示。由直流电感Ld、分裂电感Lsp与两个MOS开关器件M1,M2组成推挽式电流馈送电路,驱动一个由原边电容C1、电感L1组成的并联谐振电路;n个L2,C2构成的并联谐振电路,组成向等效负载RLn传输功率的拾取电路(pick up),n为负载的个数。

以单个负载为例进行分析,拾取端开路电压为VOC,M为原副边的互感,I1为原边线圈上的电流,则有:![]()
为了便于对电路进行分析,根据等效原则对拾取侧进行串并转换,将与所构成的并联电路转换成电阻Rs与电容Cs的串联,则有: [p]

这里,Q2=ωC2RL为副边的品质因数。那么,副边的阻抗Z2就为:
由式(1),拾取侧的短路电流ISC为:![]()
在选取副边补偿电容C2时,使其与副边电感L2构成谐振,在拾取线圈上的电压V2为:

负载上的最大功率只与原边电流,原副边间的互感以及副边线圈的自感有关。
通常情况下副边电感L2上的电流为:![]()
副边拾取侧映射到原边的电压Vr为:
![]()
在谐振的状况下,副边电感与补偿电容相互消除,副边阻抗可以简化为一个纯电阻Rs,则映射电压Vr的幅值可表示为:
![]()
从式(7),式(10)可以看出,负载RL的值越大,副边拾取侧映射到原边线圈上的映射电压就越大,该负载上获取的功率也就越大。因此,在多负载的情况下,当某一负载轻载时,也即是RL值突然变大或者波动较大时,就很容易阻碍供电平台上的其他用电设备获取足够的功率,进而导致整个系统的崩溃;同时,轻载的负载也将导致系统的运行频率不稳,以至于其他的用电设备由于不能工作于谐振频率而不能获取足够的功率。
2 动态解谐控制实现
考虑到多负载非接触通用供电平台的实际特点,采用动态解谐的解决方案,如图2所示,该电路由一个定值电感和一个可变电容组成。负载的变动将导致输出电压Vo的变化以及功率的改变,因此,动态解谐谐控制主要是流入负载的输出电流的大小。
[p]
并联解谐控制的简化模型如图3所示,当电路解谐时,电感和电容的电抗都将随之改变。此时,负载上的电流可以表示为:
![]()

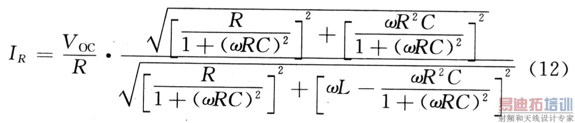
为了进一步说明负载电流和电容值的变化关系,根据图3给出如下关系式(12):

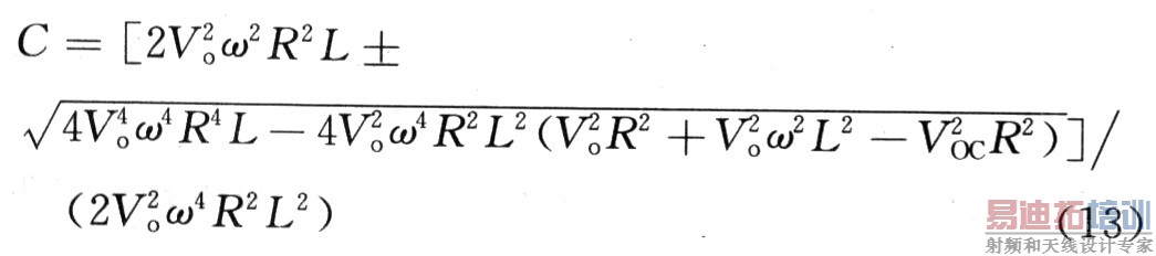
其中:R表示负载,C表示可变电容,L是拾取线圈电感,VOC是感应的开路电压,IR是负载电流,ω是谐振频率。由式(12)可以看出,如果其他参数如R,L,VOC,ω等都固定不变时,那么负载电流将随电容值的变化而变化,如图4所示。只有在电容的谐振值这一点负载电流值最大,当电容值偏离谐振点电容越大,负载电流的下降也越大。因此,可以采用两种方法来达到电路失谐,控制电流大小的目的,根据可变电容值与谐振点电容值的比较,可变电容小被定义为欠调谐控制和可变电容大被定义为过调谐控制。本文只以欠调谐控制为例来说明动态解谐方法。式(12)给出的是负载电流与可变电容之间的关系,其中负载是一个给定的不变量,而实际设计当中,主要考虑的是负载变动与可变电容之间的关系,如式(13):

其中:Vo是流经负载的输出电压,R是负载,L是拾取线圈电感,ω是谐振频率,VOC是拾取端感应的开路电压,C是可变电容。在给定的输出电压Vo的前提下,由式(13)可以计算出不同负载下的电容值。因此,可以采用电容在可控的开关频率下开启与关断来等效电容值的变化,具体电路如图5所示。
其中,在该电路中,电容开关控制依据负载输出DC电压反馈与给定的期望电压参考值相比较的结果,产生控制电容开关的输出信号。同时,在可控频率下开关电容Ct开关能够在负载上产生一个所需要的平均电流;而位于开关电容前面的固定电容Cs的作用是为启动电容开关电路提供最小的启动功率。
系统的设计参数为额定谐振频率40 kHz,拾取侧感应开路电压的峰值5.18V,副边线圈电感15.4μH,负载上的输出电压设定为15 V。由式(14)可以求出固定电容值为0.673μH,相应的开关电容值就等于谐振电容值减去固定电容的值,也就是0.357μH。图6给出了负载轻载时,开关电容、固定电容、开关电容驱动信号以及输出负载上的电压波形。图7和图8给出的是动态欠调谐控制下,负载变化上时的输出电压波形及负载上的输出功率情况。从图中可以看出,轻载时,开关电容开关频率较低,该电路尽量保持解谐状态来限制负载上的电压大小,使电压稳定在15 V;同时,输出功率并没有随着负载轻载运行而增加,而相应地有所减少,消除了对其他用电器的功率影响,避免了系统的崩溃。 [p]


3 结 语
本文以非接触通用供电平台为对象,研究系统中单个负载突然变动或波动较大时,对其他用电器的功率影响的问题,利用一种新颖自维持动态解谐控制方法,无需额外的控制电路,结构简单,且能够使负载的输出电压稳定在一个给定的期望值。最后,PSpice仿真实验结果证明了该方法的可行性和有效性。
射频工程师养成培训教程套装,助您快速成为一名优秀射频工程师...
天线设计工程师培训课程套装,资深专家授课,让天线设计不再难...
上一篇:GPS定位信息的单片机控制显示系统
下一篇:一种嵌入式视频记录系统的设计与实现

