- 易迪拓培训,专注于微波、射频、天线设计工程师的培养
TMS320VC5402在加速度式波浪传感器中的应用
1 引言
海浪观测是海洋调查的一项重要内容,采用装有加速度式波浪传感器的波浪浮标是一种有效的海浪测量方式。当装有波浪传感器的浮标随波面起伏运动时,浮标内传感器输出反映波面升沉加速度变化的信号,对其进行二次积分处理,即可得到与波面起伏高度变化成比例的信号,再对此信号进行处理,得到波高及波周期数据。加速度信号积分采用模拟积分电路,也可采用数值积分方式。通常波浪周期为2~30 s,模拟积分电路采用积分电容值则较大,这使得传感器体积比较大,而且模拟线路易受外界温度、湿度等因素影响,不便于调试,而采用数值积分方式则能有效克服这些问题。
数值积分要进行大量乘加运算,DSP是一种适用于数字信号处理运算的微处理器,可用于实现各种实时快速的数字信号处理算法。TMS320C54x系列 DSP是TI公司为实现低功耗、高速实时信号处理而设计的16位定点数字信号处理器,具有高度的操作灵活性和运行速度,适用于嵌入式应用需要。因此,该设计选用TMS30VC5402型DSP作为数据处理器。
2 系统硬件电路设计
图1为加速度式波浪传感器的系统组成框图,该框图包括加速度传感器、抗混叠滤波器、A/D转换器、数字信号处理器、通讯接口、电源系统等部分。

加速度传感器是波浪传感器的核心部件,这里选用Freescale半导体公司生产的MMA1260EG型加速度传感器。该器件是一款低成本、小尺寸、硅电容式微机械加速度传感器,采用信号调理、温度补偿和自检等技术。该器件已进行零g补偿和双极低通滤波等处理,从而简化了外嗣电路设计。MMA1260EG 的工作电压为5 V,测量范围为Z轴±1.5 g,灵敏度为1 200 mV/g。图2为MMA1260EG的应用电路。

常规波浪周期在2~30 s范围内,在A/D转换器采集间连接一低通滤波器作为抗混叠滤波器,以去除高频信号干扰。A/D转换器选用TI公司的TLV2544。TLV2544是一款高性能、低功耗、高速、12位4通道串行CMOS A/D转换器,采用单电源工作,电压范围为2.7~5.5 V。该器件可为用户提供3个输入端和1个三态输出端的串行端口,为微处理器SPI串行端口提供方便的4线接口。 [p]
数字信号处理器TMS320VC5402提供高速、双向、多通道带缓冲串行端口McBSP,可与串行A/D转换器直接连接。每个BSP口工作在SPI方式和I/O方式。在SPI方式下,BSP口便于与遵循SPITM协议的串行设备相连。TMS320VC5402与TLV2544接口时,该器件作为SPI主设备向TLV2544提供串行时钟、命令和片选信号,实现无缝连接,无需附加逻辑电路,其连接电路如罔3所示。

TMS320VC5402是TI公司生产的性价比极高的16 bit定点数字信号处理器(DSP),操作速率可达100 MI/s,内部资源配置大大方便用户构造系统。TMS320VC5402配置有4 K×l6bit片内屏蔽式ROM(F000h~FFFFh)和16 K×l6 bit双存取的RAM(DARAM),其中4 K ROM中包含Bootloader程序。用户自行设计时,如程序容量不超过16 K,可利用器件内部资源。采用引导装载方式,以降低系统设计难度和成本,加快设计进程。DSP的硬件基本电路包括电源电路、复位电路、时钟电路等。其中电源电路用双电源供电,内核电源CVDD采用1.8 V,I/O电源DVDD采用3.3 V。该电源电路由TPS73HD318实现,如图4所示。

图5为MAX706R实现的复位电路。而时钟电路使用TMS320VC5402内部振荡器,在其X1和X2/CLKIN引脚之间接一个晶体,用于启动内部振荡器。

通讯接口是通过SPI总线扩展,选用Maxim公司的MAX3100。MAX3100内置1个简单的UART,带SPI接口的波特率发生器和1个中断发生器,通过“写结构寄存器”设定波特率、字长、校验、8字节接收FIFO,选择通用UART或Ir-DA,控制关闭状态和4个中断任务。图6为UART电路,图中MAX3221为电平转换器。
3 系统软件设计
系统软件设计采用MATLAB-DSP系统级集成环境,即在MATLAB统一环境下完成概念设计、模拟/仿真、目标代码产生、运行和调试。利用MATLAB-DSP系统级开发环境极大节省了消耗在编程和修正错误方面的时间,加快了设计进程。 MATLAB-DSP集成开发环境彻底改变以往的DSP设计方法。在此环境下可完成对目标DSP的操作,包括访问DSP的存储器和寄存器等,利用 MATLAB的强大工具分析和可视化处理DSP存储器的数据,可直接把MATLAB程序生成DSP可执行的目标代码。 [p]
通过A/D采集得到的加速度数据首先经快速傅里叶变换变换为频域数据,在频域中二次积分后进行2~30 s的滤波,然后对数据进行快速傅里叶反变换重新得到时域数据,经标度变换后,通过串口输出数据,其处理流程如图7所示。

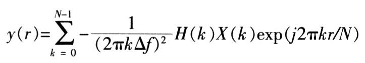
频域积分是一个非常有用的处理方法。频域二次积分的数值计算公式为:

式中,分别为下限和上限截止频率;X(k)为x(r)的傅里叶变换;△f为频率分辨率。
4 测试结果
实验室使用波浪模拟标定装置标定以TMS320VC5402为处理器的加速度式波浪传感器,标定后的传感器波高测量范围0~20 m、测量误差±(0.3+5%×测量值)m及波浪周期测量范围2~20 s、测量误差±0.5 s,符合波浪浮标行业标准要求。以TMS320VC5402为处理器的加速度式波浪传感器与使用模拟积分器的波浪传感器进行对比测试,图8为装有模拟积分波浪传感器与数值积分波浪传感器的波浪浮标在海上试验时得到的一组数据,从波形上看,采用数值积分的加速度传感器(实线)得到与原先使用模拟积分器的传感器(虚线)较一致的数据。经实验室和现场测试表明:采用TMS320VC5402实现的基于频域积分算法的加速度式波浪传感器的设计可行。
5 结论
这种基于频域数值积分的加速度式波浪传感器调试简单,稳定性高,体积小,已将该加速度式波浪传感器应用于波浪浮标中,替代先前的模拟积分式波浪传感器,测量海浪的波高及波周期。
射频工程师养成培训教程套装,助您快速成为一名优秀射频工程师...

