- 易迪拓培训,专注于微波、射频、天线设计工程师的培养
板子上怎么画线圈?
录入:edatop.com 点击:
现在手上有一个电源板子,需要画线圈
刚接触这方面的东西,还望哪位大侠出手相助,在此谢过!
要是有相关资料就更好了!
我的邮箱:897307112@qq.coom
刚接触这方面的东西,还望哪位大侠出手相助,在此谢过!
要是有相关资料就更好了!
我的邮箱:897307112@qq.coom
引用别人的:
PCB走线电感
下面图片 公式11
其中W为走线宽度。注意PCB走线电感与敷铜厚度无关。
从以上对数关系可以看出若PCB走线长度减少一半,则电感量也相应减少一半。但走线宽度则增加10倍才能减少一半电感。
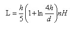
过孔电感
下面图片 公式12
h为过孔深度 单位mm( 其等于板厚)
d为过孔直径 单位mm

电感计算EXCEL.rar
射频工程师养成培训教程套装,助您快速成为一名优秀射频工程师...
射频和天线工程师培训课程详情>>

