- 易迪拓培训,专注于微波、射频、天线设计工程师的培养
可在上、下区域工作的LLC谐振转换器的设计
最近,带LED(发光二极管)背光单元的 LCD(液晶显示)电视(下称LED TV)的市场开始大幅增长,众多制造商纷纷致力于研发更纤薄高效的解决方案。各厂商相继推出多种类型的LED TV主功率级拓扑,比如非对称半桥转换器、双开关正激转换器和LLC谐振转换器。其中,LLC谐振转换器虽然相比其它转换器具有更多优势,但因为其设计复杂困难,所以在过去很少受到关注。不过,这几年间,IC制造商已开发出用于 LLC 谐振转换器的控制器,而且发表了许多相关技术说明和设计工具,让其设计变得更容易,并使得这种技术获得更多的关注。现在,LLC谐振转换器已经成为 LED TV最流行的主功率级拓扑。
LLC谐振转换器的出色优点有:a) 在整个负载范围(包括轻载)下都是以ZVS (zero voltage switching, 零电压开关)条件工作,从而实现高效率;b) 工作频率变化范围比较窄,便于高频变压器和输入滤波器的设计;c)初级端所用开关的电压应力被钳位在输入电压上,而次级端两个二极管上的电压始终等于中心抽头变压器输出电压的两倍。
LLC谐振转换器可以工作在两个不同类型的ZVS区域之内。一个被称为‘上区域(above region)’(或上谐振工作区域),这里,初级端的环流变小,但次级端上的二极管为硬开关。另一个是‘下区域’(或下谐振工作区域),这时次级端上的二极管可实现软开关。本文将简单介绍LLC谐振转换器的工作原理和工作区域,此外还将讨论其设计步骤。
LLC谐振转换器的工作原理
图1所示为LLC谐振转换器的基本电路。LLC谐振转换器一般包含一个带MOSFET的控制器、一个谐振网络和一个整流器网络。控制器以50%的占空比交替为两个MOSFET提供门信号,随负载变化而改变工作频率,调节输出电压Vout,这称为脉冲频率调制(PFM)。谐振网络包括两个谐振电感和一个谐振电容(L-L-C)。谐振电感 Lr、Lm 与谐振电容Cr 主要作为一个分压器,其阻抗随工作频率而变化(如式1所示),以获得所需的输出电压。在实际设计中,谐振网络可由一个采用如图2所示分段骨架(sectional bobbin)的集成式变压器的磁化电感Lm 与漏感Llk 构成。而整流器网络对谐振网络产生的正弦波形进行整流,然后传输到输出级。

式1
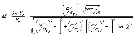
式2给出了采用如图2所示的实际变压器时,LLC谐振转换器的电压转换比。在式2中可观察到两个谐振频率。一个由Lp 和 Cr 决定,记为ωp,另一个由Lr 和 Cr决定,记为ωr。利用这个公式,可获得LLC谐振转换器随频率和负载变化的增益特性曲线,见图3所示
如图3所示,每条曲线上以符号‘+’标注的最高值被称为‘峰值增益’,位于两个谐振频率ωp 和 ωr 之间。当输出负载越来越大时,峰值增益值逐渐减小,其位置向更高频率移动。同时,以符号‘×’标注的ωr时的谐振增益却是固定的,不随输出负载的变化而变化。增益曲线说明在 ZVS状态下,随着谐振网络的工作频率增加,增益减小,输出电压降低。


LLC谐振转换器的工作区域
如图3所示,LLC谐振转换器的工作区域可标注为‘+’的峰值增益和标注为‘×’的谐振频率而分为3部分。首先,以峰值点为界,左边是ZCS(零电流开关)区(或称为电容区),右边是ZVS(零电压开关)区(或称为电感区)。在ZVS区,谐振频率ωr的左边是下区(below region),右边是上区域(above region)。当LLC谐振转换器工作在ZCS区时,在开关瞬间有大量反向恢复电流流经MOSFET,故LLC谐振转换器应该工作在ZVS区,要充分利用最小工作频率的限制不让带MOSFET 的LLC谐振转换器进入ZCS区。
如上所述,根据工作频率是大于ωr还是小于ω,LLC谐振转换器可以工作在上区域或下区域。这还取决于两种工作模式彼此间的不同特性。当LLC谐振转换器被设计为上区域工作时,流到MOSFET的环流小于下谐振工作的,MOSFET的传导损耗因此减小,从而提高效率。不过,这时次级端上的二极管为硬开关,故必须采用肖特基或UF(超快速恢复)二极管来防止严重的反向恢复电流。鉴于此,象便携式设备LCD的电源这样的低压应用有时会考虑采用上谐振工作。另一方面,在下谐振工作的情况下,流到MOSFET的环流比上谐振工作的要大。不过下谐振工作允许次级端上的二极管进行软导通/关断,这样就可以采用普通的快速恢复二极管。下谐振工作是LED或PDP TV等高压应用的首选。这些应用中,输出电压稍高,因而不能使用低额定电压的肖特基二极管。
因此,必须根据应用的规格和特性来选择LLC谐振转换器的工作区域。下一节将讨论LLC谐振转换器工作区域的选择步骤。
下谐振工作的设计步骤
图4所示为一个 LLC 谐振转换器在100%和10%负载条件下的频域增益曲线。图中,fop@10%load 和 fop@100%load 为LLC 谐振转换器的工作频率,分别在100% 和 10%负载条件下调节最大输入电压Vin,max对应的额定输出电压。Mfr 代表谐振频率 fr 下的增益,是固定的,不随负载变化。如上所述,谐振频率是把ZVS区域划分为上/下谐振工作的关键点。因此,当把Vin,max 条件下所需增益设定至大于Mfr, 则即使输入电压和输出负载都减小,所需增益也必然不会小于Mfr 。这意味着LLC 谐振转换器的工作频率小于对应 Mfr 的 fr,故它总是工作在下区域。下面介绍一个LED TV 电源的设计步骤。其输入电压由PFC (功率因数校正)提供,最小、额定和最大输入电压分别为350、380 和 400 Vdc。输出规格为120 V / 1.5 A。另外,集成式变压器使用分段骨架,控制器采用的是带有两个MOSFET的FSFR系列器件,这是飞兆半导体专为谐振半桥型转换器而设计的产品。
步骤1. 选择m 和 fr ,并计算Mfr
利用式2,谐振频率fr 下的谐振增益Mfr 可由下式求得:

式3
上式中,m 和 fr 都由设计人员选择。若选择的m值很小,峰值增益增加,且需要较大的Lr。若m值过小,需要外部电感,因为这时要在集成式变压器中获得高值 Lr 实际上是相当困难的。另一方面,如果选择较大的m值,则峰值增益降低。由于Lr 比 Lp低,使用集成式变压器十分容易。一般而言,m值在4-7之间是比较合理的。
[设计实例]
当 m 和 fr 分别设置为 6 和 100 kHz时,求得谐振频率下的谐振增益为1.09。

步骤2. 确定最大增益
利用下列公式可求出所需最小和最大增益:
式4
这里,Mmin 和 Mmax 分别为最小和最大增益。Vvirtual 是对应于谐振频率的有效输入电压。
如前所述,如果谐振电压下的Vvirtual 被设定为大于最大输入电压Vin,max,则工作频率将总是低于谐振频率,于是设计出的LLC谐振转换器就会工作在下谐振工作区域。 [p]
[设计实例]
假定Virtual 设为420 Vdc并考虑到余裕,Mmin 和 Mmax 可采用式4计算:
考虑到因负载瞬态和输入电压变化,峰值增益应具有一定余裕,增加10%的余裕是比较恰当的,故合理的Mmax 为 1.45。
步骤3. 确定集成式变压器的匝数比
利用步骤2中求得的有效输入电压Vvirtual 和合理的谐振增益Mfr ,集成式变压器的匝数比可由下式求得:

这里,Vout 和 VF分别是次级端二极管的额定输出电压和正向电压降。
如果需要调节匝数比n,可回到步骤2,增加或减小有效输入电压Vvirtual即可。
[设计实例]
在步骤2中,Vvirtual 已被设为420 Vdc。VF 取1Vdc,集成式变压器的匝数比算得为:
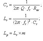
步骤4. 确定谐振网络
利用图5所示的这种查找表,能够根据峰值增益和不同的m值找出正确的Q因子。利用m值和前面步骤中获得的所需最大增益,可在图5中选出正确的Q因子。一旦确定了正确的Q因子,谐振网络的参数就可利用下面的公式求出

这里,Cr 和Lr 分别为谐振电容和电感,Lp 为集成式变压器的初级端电感。Rac 等于,其中考虑到了次级端二极管的正向电压降。
这里,Cr 和Lr 分别为谐振电容和电感,Lp 为集成式变压器的初级端电感。Rac 等于,其中考虑到了次级端二极管的正向电压降。
[设计实例]
在前面的步骤中,m值选为6,考虑到了余裕的所需最大增益 Mmax 求得为1.45。通过图5找出的Mmax对应的正确Q因子为0.35。
当谐振频率为100 kHz时,谐振电容Cr 的值可由下式求出:

考虑到出厂电容的标准值,一个22nF的电容就足够了。Lr 和 Lp 谐振电感的值可由下式求出:

后续的设计步骤和更多的技术信息
本文简单介绍了下谐振工作及其LLC谐振参数的设计步骤。不过,尚未提及选择谐振参数之后的若干设计步骤,比如集成式变压器的设计,开关的额定电压和电流、二极管和谐振电容的选择,以及控制器和反馈电路的设计。

图1:LLC谐振转换器的基本电路
[p]

图2:采用分段骨架的集成式变压器(a),变压器等效电路(b)。

图3:LLC谐振转换器的增益曲线和工作区域

图4:LLC谐振转换器的频域增益曲线

图5:根据峰值增益和不同m值找出正确的Q因子的查找表。
射频工程师养成培训教程套装,助您快速成为一名优秀射频工程师...
天线设计工程师培训课程套装,资深专家授课,让天线设计不再难...
上一篇:基于Clarity
CVC-HFK免提开发平台的车载信号处理与音频系统
下一篇:基于Windows
CE的SPI接口驱动程序设计

