- 易迪拓培训,专注于微波、射频、天线设计工程师的培养
一种自适应电阻式触摸屏控制器的设计
摘要:提出一种电阻式触摸屏控制器的设计方案。针对电阻式触摸屏x,y向总电阻存在型号差异和个体差异的特点,为了避免传统测量方法中人工确定触模屏阻值参数的问题,提出一种x,y向总电阻的测量方法。该方法通过软硬件的配合,自动测量触摸屏x,y向总电阻,实现针对不同型号或个体触摸屏的自适应压力电阻计算。该方法适用于已封装好的电子产品,可避免产品组装前对触摸屏的测试工作,有效地节约产品的开发成本和生产时间。
关键词:电阻式触模屏;自适应;电阻测量;压力电阻
0 引言
触摸屏是电子产品中常用的一种输入设备,通常与液晶屏搭配使用,用来取代传统的键盘输入,广泛应用于电子产品与工业控制中。触摸屏通常附着在液晶显示屏表面,通过微处理器对触摸屏的控制,实现触摸屏对液晶屏图像界面的直接操作。电阻式触摸屏由于成本低,无专利技术的原因,是嵌入式设备应用最为广泛的一种触摸屏。本文提出一种电阻式触摸屏控制器的设计方法,为业界主流低端手机基带芯片MTK6223D提供触摸屏控制的功能扩展;同时针对电阻式触摸屏x,y方向总电阻测量的问题,提出一种自适应的触摸屏x,y向电阻测量方法,既提高压力电阻的计算精度,又可避免人工测量电阻式触摸屏的电阻参数,有效节约手机开发成本和生产时间。
1 电阻式触摸屏结构
电阻式触摸屏根据引出信号线的数量,可以划分为4线、5线、6线、7线、8线等类型,其中以4线电阻式触摸屏最为常见,结构最为典型。本文讨论的电阻式触摸屏,均指四线结构电阻式触摸屏。
1.1 基本结构
电阻式触摸屏在玻璃或丙烯酸基板上覆盖有两层透平、均匀导电的ITO层,分别作为X电极和Y电极,它们之间由均匀排列的透明格点分开绝缘。其中下层的ITO与玻璃基板附着,上层的ITO附着在PET薄膜上。X电极和Y电极的正负端由“导电条”分别从两端引出,且X电极和Y电极导电条的位置相互垂直。引出端X-,X+,Y-,Y+一共4条线,这也是4线电阻式触摸屏名称的由来。当有物体接触触摸屏表面并施以一定的压力时,上层的ITO导电层发生形变与下层ITO发生接触,进而2个导电层间在该位置的电压和电阻发生变化。控制器检测电压变化后,在x和y 2个方向上产生信号,读取触点位置在x,y方向上的电压值后,同该x,y方向上的参考电压进行比较,计算出触点的坐标。这是电阻式触摸屏的基本工作原理。
1.2 坐标的估算
计算电阻式触摸屏触点的x,y坐标分为如下两步(见图1):
(1)计算y坐标,在Y+电极施加驱动电压Vref,Y-电极接地,X+作为引出端测量得到接触点的电压,由于ITO层均匀导电,触点电压与Vref电压之比等于触点y坐标与屏高度之比。
(2)计算x坐标,在X+电极施加驱动电压Vref,X-电极接地,Y+作为引出端测量得到接触点的电压,由于ITO层均匀导电,触点电压与Vref电压之比等于触点x坐标与屏宽度之比。测得的电压通常由ADC转化为数字信号,再进行简单处理就可以作为坐标值,判断触点的实际位置。


2 触摸屏控制器的设计
本文采用的触摸屏控制系统由基带芯片MFK6223D、触摸屏控制器和触摸屏3部分组成,如图2所示。MTK6223D是联发科技(MTK)的一款低端GPRS/GSM基带芯片,该芯片将ARM7控制模块、DSP模块、射频模块和电源管理等集成到一起,采用Nucleus Plus操作系统,是目前业界一款主流的低端手机基带芯片。但是MTK6223D没有提供对触摸屏的支持,为进一步强化手机的功能,MTK6223D需要搭配触摸屏控制器芯片,实现功能更为强大的手机设计。本文提出的触摸屏控制器主要实现对触摸屏信号的模/数转换,坐标值计算,压力电阻阻值计算和抬笔落笔中断判断4项功能,并通过AMBA总线向手机基带芯片上传数据。

[p]
2.1 触摸屏控制器
触摸屏控制器分为模拟信号处理和数字控制电路2个部分,如图3所示。模拟信号处理部分负责模/数转换、测量x,y方向坐标与量化等工作。数字控制电路负责控制测量流程和计算压力电阻阻值等功能,同时数字控制电路也要向基带芯片提供中断报告和总线访问机制。

2.1.1 模拟信号处理
模拟信号处理如图4所示。

模/数转换部分的主要工作是将触摸屏传来的模拟信号量化成数字信号,同时将向数字控制部分提供相应接口。SP5368触摸屏控制器使用逐次逼近模数信号转换器(SAR ADC),将模拟信号转化为8位的数字信号,共有256个量化级别,基本满足分辨率在320×240以下触摸屏的测量精度。
模拟信号的测量分为差分测量和单端测量两种模式,如图5所示。差分模式的测量精度较高,但是功耗较高。单端模式的功耗较小,但是测量精度较低,同时存在部分码值多余的现象。在实际应用场合,应视需求的不同,选择合适的测量方式。

[p]
2.1.2 数字控制电路
数字控制电路主要的功能有2项,一个是控制驱动电路,完成对触摸屏触点坐标和压力电阻的采集,另一个是计算触点压力值,向上位机(上层系统)提供抬笔和落笔两种类型的中断。其数字电路的示意图如图6所示。

2.2 压力电阻阻值的计算与分析
触摸屏控制器除了向操作系统提供触点x,y方向坐标外,另一项功能是向系统报告抬笔中断和落笔中断。在电阻式触摸屏结构中,触摸屏的抬笔中断或落笔中断,是通过判断压力电阻阻值的变化产生的。
压力值反映了触摸屏2层导电薄膜之间电阻值RTouch的变化,压力越大,RTouch就越小,压力越小,RTouch就越大。计算压力值,实际上就是计算触点位置的RTouch。通过对触点压力的计算,系统可以判断挤压动作是抬笔动作还是落笔动作。电阻式触摸屏压力计算的基本原理分三步,如图7所示。
(1)X-接地,X+接电源,Y+接ADC得到触点的X坐标;
(2)X-接地,Y+接电源,X+接ADC得到Z1点的位置Z1;
(3)X-接地,Y+接电源,Y-接ADC得到Z2点的位置Z2。
然后,结合xy方向的总电阻值就可以求出:
![]()
计算出压力电阻RTouch后,需要同阈值电阻RTup,RTdown(RTdown<RTup)进行比较,如果RTouch小于RTdown,则认为触摸屏产生落笔动作,如果RTouch大于RTup,则认为产生抬笔动作。如果RTdown阈值设得太小,则需使用很大力量才能触发落笔动作,这样会让使用者产生写字费力的感觉,同时过度用力挤压触摸屏也会减少触摸屏寿命,破坏触摸屏物理结构;如果RTup设的过大,会在画线过程中产生频繁抬笔动作,则会让使用者产生写字不连续,无法划出连续直线的现象。
2.3 自适应的电阻测量方法
由于市场上触摸屏品牌众多,各厂家的触摸屏参数存在差异,所以触摸屏x,y方向总电阻RREF会随着触摸屏型号的不同发生变动。对于同一型号触摸屏,由于制作工艺的问题,RREF也会出现上下浮动。在触摸屏的压力电阻计算中,RREF是一项主要的计算参数,因此在实际的电子产品开发中,针对不同触摸屏,测量并修正触摸屏x,y方向的总电阻RREF是一项十分重要的工作。但是在产品成型之前,如果对每一个触摸屏个体进行单独的RREF测量和记录是一项耗时并且浪费成本的工作。目前业界通用的做法是每种型号的触摸屏采用统一的参数,并不对每个触摸屏进行单独的测量。
针对上述问题,为了更加精确地计算压力电阻,笔者提出了一种计算电阻式触摸屏RRE的方法。该方法只需要对已封装在产品中的触摸屏进行简单的点击测试,然后结合软件算法,即可计算出触摸屏的RREF。另外,由于该方法和触摸屏校正采用的点击方式非常相似,因此该测量过程可以和触摸屏校正同步完成。所以,该方法可以在没有消耗时间和成本的前提下,完成对触摸屏个体的RREF计算与修正,同时具备较好的测量精度。为便于讨论,下面仅讨论x方向RREF的测算,y方向同理。其基本步骤如下:
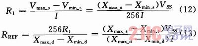
(1)在差分模式下,点击触摸屏任意一条对角线方向的2个顶角A和B,获取触摸屏有效面积内x方向上电压量化值Xmin_d,Xmax_d(量化值为1~256的区间)。在差分模式下,触点电压量化值是触点处电阻同触摸屏总电阻的量化值比值,如图8所示可得到以下关系。

(2)点击触摸屏任意一条对角线方向的2个顶角A和B,获取单端模式下触摸屏有效面积内x方向上电压极值的量化值Xmin_s、Xmax_s(量化值为1~256的区间)。不同于差分模式,单端模式引入了A/D转换电路中MOS场效应管开关。对于芯片厂商而言,MOS场效应管参数和其电压参数都是已知的。故在这种情况下,触点电压量化值是触点处电阻同触摸屏总电阻与MOS管电阻之和的比值。如图9所示可得到以下关系。

[p]

(3)由式(6),式(7)可以得到NMOS场效应管RN与R3的关系,其中VDS是NMOS管的漏极电压。
结合MOS场效应管的漏极电流公式,对于一个已知的数/模转换芯片,Vss,μN,Cox,W,L,VGS和Vth均为已知参数;联立式(9)、式(10),可以推出通过MOS管的漏极电流为:
![]()
又因为IR=VDD且,结合式(3),(4),进而最终求出x方向的总电阻Rref。

3 MTK驱动层
MTK为其开发的系列基带芯片提供定制的嵌入式操作系统,该嵌入式操作系统是基于Nucleus Plus抢占式多任务系统内核扩展而成,并通过宏定义开关对不同型号的基带芯片提供支持。MTK定制软件平台的触摸屏驱动以任务(Task)的形式存在,任务的函数人口是位于touch_pan-el_main.c中的tp_task_main函数,触摸屏任务通过轮询的方式监测触摸屏的状态信息,进而完成对不同状态的事件响应。
MTK6223D基带芯片自身并不支持触摸屏功能,所以基于MTK6223D的嵌入式平台通过宏定义开关封闭了平台对触摸屏相关功能的支持,但触摸屏的相关代码和架构仍然得到了保留。在MTK6223D搭配触摸屏的手机设计方案中,触摸屏功能通过外界触摸屏控制器得到实现,触摸屏的底层驱动是在MTK原有架构的基础上扩展而成。MTK嵌入式操作系统将触摸屏的状态信息保存在TouchPanelDataStruct结构体中。当嵌入式系统收到来自触摸屏控制器的中断时,中断函数完成对Touch_Panel_PenState_enum中state变量的更新,然后tp_task_main函数通过对state变量的判断,确认触摸笔屏处于UP状态还是DOWN状态,同时读取触摸屏的当前坐标。


4 结语
该文研究了电阻式触摸屏的工作原理,提出一种和基带芯片MTK6223D搭配使用触摸屏控制器的设计与实现,并根据实际生产设计需求,提出一种自适应的测量触摸屏总电阻阻值的方法。该测量方法通过软件和触摸屏硬件控制器配合完成,并可与触摸屏校正同步实现。该方法具有较高的测量精度,不用在产品组装前,对触摸屏元器件进行单独测量,有效地节约了产品研发生产的时间和成本,对于嵌入式产品设计与开发具有较为实际的意义。
射频工程师养成培训教程套装,助您快速成为一名优秀射频工程师...
天线设计工程师培训课程套装,资深专家授课,让天线设计不再难...
上一篇:宽带数字信道化接收机的FPGA实现
下一篇:fpga

