- 易迪拓培训,专注于微波、射频、天线设计工程师的培养
应用傅氏算法的几个问题讨论
傅氏算法在数字保护中得到了广泛的应用,但关于傅氏算法中余弦正弦系数a,b是否是信号相量的实部和虚部,作者一直感到困惑。通过分析近年发表相关傅氏算法的文献,提出几个问题的质疑,结合实际的工程实例和信号的物理意义,认为信号的虚部是-b即相量用表示,才能正确计算出阻抗、负序分量等。
关键词:傅氏算法;相量表示;分量
Discussion on the Fourier algorithm application
Yuan yubo, Lu yuping , Tang guoqing
(Electrical Engineering Department of Southeast University Nanjing 210096)
Abstract:Fourier Algorithm has been deeply applied in digital protection, however it was puzzled about whether coefficients a or b are real or image part of the phasor. After analyzing the document published in recent years, some problems query was put forward. It was concluded that the phasor could represented by form of a-jb and the correctly impedance or negative phase-sequence could be figure out by this form..
Key words: Fourier Algorithm, Digital Protection
0 引言
傅氏滤波算法作为故障信号模值相角提取的方法,在电力系统数字保护中广泛应用,但从目前发表的文献来看,在概念上还存在一些困惑。
现将问题阐述如下。计算连续周期信号的基波分量的傅氏算法为:
文献[1-4]认为a,b分别是基波信号的实部和虚部。其实不然,确切地说,a,b应是信号的余弦和正弦分量系数。作者在开发一个继电保护故障信息系统的过程中,利用了高级语言的复数类,发现根据a+jb的组合方法来表示相量,计算出的负序和正序互相颠倒,且利用电压电流计算出的阻抗中的电抗分量为负数。如用a-jb的相量表示方法,结果就正确了。
分析其中的原因,作者认为目前一些文献都忽视了傅氏算法的概念,拟归纳成以下几个问题:
1) 傅氏算法计算出来的余弦、正弦幅度系数a,b是否是基波相量的实部和虚部。
2) 连续周期信号与离散周期信号各自计算出来的是否一样?相位角分别如何计算。
针对这些问题,在此提出一些个人见解与同行讨论。
1 算例
以距离保护中计算阻抗为例(见图1),算法采用(2)式,分别得到电压电流的余弦正弦系数Ua,Ub,Ia,Ib,至于如何构成相量,有两种组合方法,在表1中详细的表示。


显然,采用后面一种才能正确的计算出Z,相量表示虽然只是相差一个负号,但是物理概念确完全不一样。
复数形式的傅里叶级数表示为[5]:
在连续系统中,系数a,b包含了基波的幅值和相位信息,负频率点和正频率点处的对应的复系数分别为
。电路理论中用相量表示信号时,规定逆时针旋转方向为正,正频率是逆时针旋转的,因此用正频率点处的复系数来表示相量,为反映幅值将它乘以2,即用a-jb来表示基波相量。以上推证相量的实部和虚部应该为a、-b,其实这个概念的澄清对计算和分析非常重要,否则会导致计算的错误。下面举例说明,图2为一单位正弦波,数据窗取一个周波长度,分别取起始位置为1,2,3,4,表2为相应的a-jb,a+jb的计算值,图2表明随着数据窗的移动,相量a-jb是逆时针旋转,而a+jb是顺时针旋转。
[p]

ABC三相超前滞后的关系是基于逆时针旋转方向为正的坐标系统。如用顺时针旋转a +jb的相量来表示基波,计算时会导致正序和负序分量的错位。
2 分析
连续系统的傅里叶级数是对周期信号的分析,系数a,b是通过积分运算得到的,而离散系统对应于一个时间窗截断的过程,窗外是窗内数据的周期延拓。理论证明,随着数据窗的移动,计算的a,b值也是正弦交变的,不像周期信号傅里叶级数a,b是一个恒定的值。以基波12点采样为例,随着采样数据窗的移动,a-jb相量在圆上逆时针旋转,数据窗每往前移动一格,相量就逆时针旋转30°。
连续周期系统的相角取决于信号采用余弦模型还是正弦模型,如采用余弦模型,则连续系统中信号的初相角为复数a-jb的角度。φ=arctan(-b/a)。而离散系统中计算出来的相角是有区别的,随着数据窗的移动,它是一个瞬时的相位计算值(ωt+φ),该相量以角速度ω逆时针旋转。
在实际工程中,也常遇到类似的问题,如认为a,b是信号的实部和虚部,可能在计算功率方向时,明明是正方向短路,可是保护计算出来的却是反方向。有些工程人员的解决手段是在取电压电流相量时在虚部前加一个负号,保护计算就正确了,确不知道其中的物理含义。
国内外文献在看待这个问题时,有一些混乱,比较容易误导读者。如文献[1-4]直接认a,b是信号的实部和虚部。文献[10,12]为同一个作者写的两篇论文,其虚部分量的符号就不一样。但IEEE的一篇文献在b前面加了一个负号[6]。国内也有文献意识到了这个问题,在半波傅氏算法的b前加了一个负号[7]。最近出版的文献[8]也加了负号。但是目前仍有论文,没有对这个问题引起重视,重复着这个笔误[4,9]。综上所述,目前对该问题的困惑还存在,想当然的认为a,b就是基波信号的实部和虚部,会引起读者的误解,导致对傅氏算法错误的理解和使用。可能这些文献只注重研究滤波器性能,还没有用来做双通道的比相或三相序分量的计算,问题没有暴露出来。有些文献用b+ja来表示信号,也是正确的,这一样可以仿照表2分析出来。因此,在做信号的相量表示的时候,一定要注意向量的旋转方向。
3 应用
1)距离保护中阻抗的计算
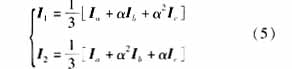
2) 序分量的提取
电力系统中的故障大多数是不对称的,会出现反应不对称故障的负序电压和负序电流,数字保护应能实时计算出负序分量。由于习惯上采用逆时针方向定义超前滞后,α0,α1,α2依次逆时针方向超前相位120°。各序电流的计算见式(5)。
注意信号相量表示应取a-jb,如用a+jb会导致计算出的正序分量变成负序分量。
3) 基于相量方法的数字滤波器设计
采样信号在一个数据窗中的特点是,随着数据窗的移动,数据窗内的每个采样点的值也是变化的,单独把数据窗内每个采样点从x(1),x(2),...,x(12)作为信号引出来分析,每一点都是时域的采样信号,它和原信号是一致的,不过依次超前一个采样间隔,因此可以用相量来表示每个采样点的信号。信号中存在的各次谐波分量如用相量表示时,除旋转速度不同,反应到每个相量之间的超前滞后的角度也是有区别的。如每周波12点的采样系统,基波相量之间相差30°,二次谐波相量相差60°,依次类推,图3给出了基波信号的各采样点相量表示。

在同一个平面上,3个相量必相关,即对3个点的采样相量,必然可找出系数使三个相量的线性组合等于零。通过基于相量方法的设计来滤除该次谐波,这在文献[11]中已经有详细的论述。
4 结论
本文通过研究分析,认为傅氏算法计算出的余弦、正弦分量幅度系数a和b并非是信号相量表示的实部和虚部,在做信号的相量表示时,一定要注意向量的旋转方向,应选正方向旋转的相量a-jb来表示信号,这样符合传统的电工学的正方向的规定。连续周期系统中计算出来的a,b是一个恒定的值,且计算出来的相角也是信号的初始相角;而离散系统中计算出来的a,b却随着数据窗的移动在变化,相角是一个瞬时相位角。最后将该理论应用于距离保护中电阻电抗的计算、序分量的提取,且该物理概念也可以拓广到基于相量法的数字滤波器设计中。文中对正确的使用傅氏算法具有一定的借鉴作用,提出的个人见解其正确与否愿与同行讨论。
射频工程师养成培训教程套装,助您快速成为一名优秀射频工程师...

