- 易迪拓培训,专注于微波、射频、天线设计工程师的培养
基于DSP闭环控制的单相逆变器的研究
摘要:基于DSP的闭环控制逆变,采用TMS320F2812作为控制器。文章通过对DSP编程产生的PWM和SPWM,以光耦隔离分别来驱动高频逆变桥和工频变换器,同时分析了逆变桥中开关损耗,通过改进算法,提高了转换效率。
关键词:逆变器;脉宽调制;闭环控制;开关效率
0 引言
随着不可再生能源的过度开发,能源危机已迫在眉睫,太阳能发电将成为生产、生活等领域的主要能源之一。作为太阳能利用主要方式之一的光伏发电已开始受到人们的广泛关注。一些发达国家在光伏发电方面已经走在前列,其装机容量已达百万兆瓦级。我国作为一个人口和能源需求大国,在太阳能利用方面,与发达国家相比还存有相当大的差距。基于此,本文研究了作为光伏发电核心器件的逆变器的基本结构和控制原理。
1 闭环逆变器的总体设计
1.1 技术指标
输出功率为500W,输出波形为交流正弦波,输出电压为220V,正负偏差≤5%;频率为50Hz,正负偏差不得>0.2Hz。
1.2 系统原理图

本逆变器的特点:1)输入级没有DC/DC升压结构,从而提高转换效率和安全性。2)控制方式高度数字化,从而最大限度地利用DSP的高速处理能力和它的集成外设,缩小逆变器的物理尺寸,降低了成本。3)控制驱动电路都通过二极管续流。采用零电压导通和零电流截止的移相控制方式。4)二次侧采用中心抽头的输出方式,极大提高了高频变压器的利用效率。
2 逆变器的主电路设计与分析
逆变器的主电路中,由高频驱动电路驱动高频逆变桥,工频驱动电路驱动工频变换器,其间通过高频变压器直接升压,然后通过LC交流滤波器得到标准的正弦波。
为了保证输出电压的稳定以及防止过载,本系统设计了过压、过流等电路,通过上述保护模块实现对主电路的保护,同时为防止磁饱和发生,在脉冲变压器一次绕组中串入了电容器C0。
(1)t=t0时,K1、K4导通,直流电压Ui加在高频变压器T一次绕组N1上,二次绕组N21产生感应电压,带同名端标志“.”为正,其电压幅值为
,设输入电流为ii,在一次绕组N1电流线性增加时,二次绕组N21和滤波电感L1中电流i2也线性增长,其电感L1电流的增长量为:

(2)t=TON时,K1、K2、K3、K4均截止,此时电感L1电流i2最大,在TON~Ts/2时间内,此为对DSP编程所设置的死区时间。高频脉冲变压器一次绕组电流ii不能突变,则通过D2、D3续流,存储在一次绕组中的能量回馈到电源。同时,二次绕组N21和滤波电感L1电流i2也不能突变,根据椤次定理,二次绕组N21的感应电压维持原极性不变,滤波电感L1电压极性反向,工频变换器的Tg=0.02s,K1、K2为超前臂,K3、K4为滞后臂。通过控制超前臂K1、K2和滞后臂的K3、K4导通次序,滞后臂滞后一个θ导通,也就是移相角,感性负载RL电流通过D9续流。负半周类似。 [p]
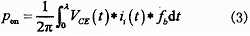
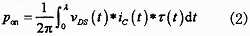
(3)根据(1)、(2),逆变桥和工频变换器的开关频率fb和fg分别等于fb=1/Tb,fg=1/Tg=50Hz。由于逆变桥和工频变换器的开关频率的不同,比例系数为K=fb/fg,其主要的损耗发生在换流过程中,根据式(2):
![]()
式中:VDS为漏源端电压,ic为电流,τ(t)为占空比,λ为开通时间,损耗与开关管两端电压及关断时的电流以及占空比(也即开关频率)有关,则逆变桥的开通损耗为:
![]()
通过DSP编程实测K1、K2互补移相控制的波型如下:
图2为K1、K2的驱动波形在某两个瞬时的相位差,从而可以看出移相控制就是二个桥臂相差的一个相位差,每个桥臂上、下管互补导通,同时通过改变占空比起到控制输出电压的结果。为了确保零电压导通,必须确保VDS=0,通过实测波型如下:

图3示出了K1在零电压导通的过程,通道1为GS间驱动电压,通道2为DS间电压,从图中可以看出,当K1开通时,DS间电压的电压为零。即达到对K1实施软开关特性,所以此时VDS=0,即有Pon=0。此时开通损耗为零。其它几个开关管的情况类似。

[p]
3 逆变器闭环控制回路设计与分析
通过对DSP二个全比较单元编程所产生的4路移相SPWM驱动信号,分别驱动每个桥臂的下下二个互补IGBT开关管,其具体方法如图4所示。

具体编程方法是:把定时器控制TxCON的11~12位设为01,即选择连续增减计数模式,开关频率为20kHz。则有当GP1由0增至A点时,计数值与FCMP1的比较值发生匹配,于是FCMP1输出电平发生跳变(K4的驱动由0变1,K3由1变0)。当GP1由A点增至B点时,计数值与FCMP2的比较值发生匹配,则FCMP2输出电平发生跳变(K2的驱动由0变1,K1由1变0)。当GP1计数值递增至其设定值后,开始减计数,递减至C、D点时,过程类似,FCMP1和FCMP2输出电平分别发生跳变。同时,为了实现闭环控制的目的,在GP1的下溢中断和匹配中断程序中,通过扫描预先存入RAM的SPWM数据表得到。全比较单元的比较值在半个开周期期内更新一个新的SPWM数据,驱动信号的死区时间由专用寄存器设定。某时刻的死区控制波犁如图6所示。

SPWM逻辑驱动信号采用查表法产生。SPWM数据表采用直接法计算,预先存放于DSP的FLASH,初始化程序时将SPWM数据表调入高速RAM。S-PWM的调制比M取0.5~0.98,根据开关频率20kHz,制成32个SPWM数据表,每个表存放200个数据,采用对称规则等面积法,所以只计算1/4周期即200个小区间的等效脉冲宽度即可。通过双向扫描数据表可获得完整的正弦波。 [p]
数据表计算公式如下:

其中tk为第k个方波脉冲的宽度,M2为调制比,ω为工频角频率,Tk为第K时刻的时间值(K=0~199)。
根据DSP的工作时钟20MHz,则算得定时器的周期寄存器的值为500。根据以下定标公式计算数据表的值直接存入FLASH:
![]()
Datak就是在[Tk,Tk+1]区间驱动信号的相对触发时刻值。
高频逆变驱动电路采取移相控制方式。K1、K2组成超前臂,K3、K4组成滞后臂,分别超前Tm。开关管导通的时间分别为TK1、TK2、TK3、TK4。
工频变换器电路也采取移相控制方式。Q5、Q6组成超前臂,Q7、Q8组成滞后臂,分别超前Tn。开关管导通的时间分别为TK5、TK6、TK7、TK8。
由于tk经PID调节器反馈控制的参数,所以引起TK(K=1,2,3,4,5,5,6,7,8)也随之变化,实现实时闭环控制。
采样电压和电流通过接口电路,经转换,输入DSP的A/D,并用DSP实现数字PID调节器,使逆变器根据负载的变化,实时根据误差信号计算出相应的控制量△k,经对DSP编程,根据△k的大小,查找对应不同的调制比的SPWM数据表,从而达到闭环控制的目的。把给定的电压与,电流大小与反馈的电压和电流大小比较,调节输出SPWM脉冲宽度从而控制驱动电路,注意:一定要使能DSP内EV扩展控制寄存器中的REVSOCE位,采用周期中断启动ADC,系统进入闭环控制。
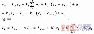
数字PID调节器算法如下:
ek为第K步误差值,uk为第K步控制量,u0为初始控制量,Ik为积分项,三个系数kp、kl、kD由参数整定得到。

同时通过传感器检测过热、过流等信号,经信号调理电路变成相应的方波信号,被DSP的事件管理器捕获单元捕获,检测到的PDPINTx电平的变化产生INT1中断,在200ns内终止所有的驱动信号。其具体控制过程如图7所示。

4 实验结果
通过不断的实验,最终得到了满意的结果,图8示出了实验输出波形的结果,通过周波变换反相和滤波电路后得到相应的正弦波形。输出电223V与标准电压220V相比,其偏差为+1.3%<5%;1输出波形频率为50.08Hz,其偏差为<0.2Hz,达到标准频率要求。经滤波后THD为1.8%。

5 总结
通过利用TMS320F2812的事件管理器来实施单相逆变器的闭环控制,动态性能极大提高,同时DSP算法参数的整定关系到整个系统的正常工作,是有效实现过压、过流等保护的前提条件。还有,选择好传感器是实现过压、过流保护的关健。
射频工程师养成培训教程套装,助您快速成为一名优秀射频工程师...
天线设计工程师培训课程套装,资深专家授课,让天线设计不再难...
上一篇:手机来电提示器制作方案设计
下一篇:应用Prote199se设计电子时钟印制板电路

