- 易迪拓培训,专注于微波、射频、天线设计工程师的培养
公交智能监控“二把手”:GPRS、ZigBee
引言
在如今的现代生活中,公交车是城市交通中最重要的部分,其运行效率与服务质量很大程度上影响城市交通状况和市民的出行状况。衡量运行效率和服务质量的重要标准是公交车能否准点到达各站和人们能否知道自己等待的公交车运行情况。
目前,除始发站和终点站外,中间的众多站无法保证公交车准点;依靠驾驶员按键操作报站,难免出现错误而误导乘客;候车人不知道等待的公交车运行状况。为此,本文开发了一种基于GPRS和ZigBee的公交车运行监控系统,以期能较好的解决这些问题。
1 系统整体设计
该系统由公交车监控中心、公交车站台的站台监测器和公交车上的智能无线终端(以下简称监控中心、监测器和无线终端)组成,如图1所示。无线终端通过ZigBee技术向监测器报告公交车到达和离开的时间,监测器接收无线终端发送的信号,检验该车的“标识号”,识别到来车辆,并将该车的到达时间、车号等信息通过GPRS网络传送到监控中心。

公交车根据检测器发送的站台标识符识别站台名称,通过语音和LED屏报站。此后,监测器不断检测该无线终端发送的信号强度,当其减弱到一定程度时,即认为该车离开本站,随即向监控中心发出相关信息。监控中心对监测器发来的信息进行存储,根据接收的信息判断公交车行驶路段,并将信息发送给监测器,监测器通过运行状态指示灯显示给候车者。
2 硬件设计
2.1 监测器
2.1.1 整体设计
监测器组成如图2所示,该部分由CPU、无线GPRS通信模块、无线ZigBee通信模块、公交车运行状态指示灯和其他外围电路组成。CPU选择三星公司的S3C44B0X,该处理器具有低功耗、高性能、高性价比的优点,同时具有丰富的内置部件,极大减少了系统电路中除处理器以外的元器件配置,降低了成本并减少了系统的复杂度。同时具有大量I/O端口,可以实现对大量状态指示灯的控制。GPRS既能支持间歇的爆发式数据传输,又能支持偶尔的大量数据传输,数据传输速度快,按流量计费。因此GPRS适合于这种通信频繁、数据量大、实时性要求较高的监控系统。该设计选择GPRS作为监测器与监控中心无线连接方式,监测器与公交车终端通信采用ZigBee无线通信方式。ZigBee是一种近距离、低复杂度、低功耗、低速率、低成本的无线网络技术。设计中ZigBee通信模块选用Freescale公司的MC13192,其工作频率是21405~21480GHz,采用直接序列扩频的通信技术,数据传输速率为250kb/s,达到设计要求。
[p]
2.1.2 GPRS通信模块
GPRS模块选择法国WAVECOM公司生产的Q2403,该模块符合ETSI标准GSM0707和GSM0705,下载速度为5316kb/s,上传速度为2618kb/s。模块提供一个符合V24协议的异步串行通信接口,支持加密算法,集成射频电路和基带于一体,性能稳定,可以快速、可靠的传输。Q2403和S3C44B0X通过串行接口相连接,如图3所示。

2.2 无线终端
无线终端主要由音频播放模块、按键响应电路、无线ZigBee通信模块和LED屏显示模块组成,见图4。音频播放模块负责录制并播放语音报站信息。

按键响应电路负责响应公交车司机的按键操作。
2.2.1 ZigBee无线通信模块
由于MC13192的射频信号采用差分方式,而倒F型天线为单端天线,所以在芯片和天线间需使用平衡/非平衡阻抗转换电路,以达到最佳收发效果。
电路中使用了UPG2012TK和巴伦电路专用芯片LDB212G4020C。UPG2012TK是NEC公司针对手机和其他L-波段应用制造的镓砷单刀双掷(SinglePoleDoubleThrow,SPDT)射频开关,其工作频率为015~215GHz,具有非常低的介入损耗和很高的隔离性能。MC13192和S3C44B0X的连接如图5所示。
[p]
2.2.2 LED屏显示模块
设计中的LED点阵屏幕由4个LED点阵模块构成,模块需要阳极与阴极共同控制,其行为阳极,列为阴极,所以把LED点阵屏幕驱动电路分为行驱动电路与列驱动电路两部分设计,如图6所示。行驱动电路采用16个8050D型NPN三极管和16个上拉电阻共同完成驱动。列驱动电路则是由16个S8550D型PNP三极管和16个上拉电阻共同完成驱动。

因而失真小,使用方便,不需专用语音开发工具,成本低廉。键盘采用独立式键盘,驱动芯片采用ZLG7290。RS232通讯部分由MAX233A完成。复位部分采用专业复位电路芯片IMP811来实现。
3 软件设计
3.1 ZigBee网络地址分配
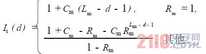
设计中使用分布式地址分配方案来分配ZigBee网络地址,采用对等网络结构构建网络,监测器作为父设备,无线终端作为子设备。终点站的父设备作为网络协调器启动网络的建立,选择一个信道,确定唯一的PAN地址并广播建立网络信息。该父设备建立网络后,设置自身地址为0X0000,其他监测器作为路由器、无线终端作为终端节点加入网络。网络地址的分配与3个参数有关,分别为允许的最大子节点数Cm、允许的最大路由节点数Rm和允许的最大网络深度Lm,根据这3个参数可自下而上地计算出每一级邻近节点间的地址间隔Is(d):

其中,d为路由器级数,第n级父设备地址Ap为

无线终端设备地址是根据入网先后顺序确定的,比如第n个入网的无线终端设备地址An为

其中,An为同等级深度节点中序列为n的节点,1≤n≤Cm-Rm,Ap为其上一级父节点地址。
3.2 软件流程
系统的软件设计包含三部分:无线终端、监测器和监控中心软件设计,文中只介绍无线终端和监测站软件设计,监控中心软件设计请读者参阅其他资料。 [p]
监测器通电后,进行Q2403和ZigBee的初始化和ZigBee通信的准备工作,等待ZigBee设备的连接请求。当接收到某设备的连接请求后,确认是否为合法用户,如果是则发出允许连接的命令,实现无线终端和监测器的无线连接。建立连接后,监测器获得了公交车的唯一标识号,将该公交车进行登记,并将车号和时间信息通过GPRS网络发送给监控中心。当公交车离开站台后,信号强度下降到一定程度,公交车与该监测器断开连接,认为该公交车已离开该站。监测站还时刻接收监控中心发送的公交车运行状态信息,并通过运行状态指示灯显示给候车者。工作流程如图7所示。

无线终端通电后进行ZigBee初始化工作,寻找监测器,当检测到监测器的信号强度大于一定值时,向该监测器发出建立连接的请求,获得该监测器的标识符,从而知道是哪一站,并采用语音和LED屏实现自动报站。当驶离站台监测器时,检测到该监测器的信号强度弱小到一定程度,便向该监测器发出断开连接请求。其工作流程如图8所示。

4 结语
将GPRS和ZigBee技术应用到公交车智能监控系统,解决了多年来困扰公交车监控系统的诸多问题,使其作用更为突出,提高了公交车的服务质量和运行效率,具有很高的实用价值。在该系统中,远距离无线通信采用的GPRS技术和近距离无线通信采用的ZigBee技术互为补充,在扩宽监测范围的同时也提高了监控系统的智能水平。这种监测网络模型具有一定的通用性,可以推广应用到石油和煤矿生产等工作地域范围较广的工业现场。
射频工程师养成培训教程套装,助您快速成为一名优秀射频工程师...
天线设计工程师培训课程套装,资深专家授课,让天线设计不再难...
上一篇:冷启动条件下的LED驱动器设计
下一篇:双CPU数据处理系统设计

