- 易迪拓培训,专注于微波、射频、天线设计工程师的培养
实现LED均匀照明的反射面设计
1 引言
作为第四代新型节能光源的典型代表,LED 具有寿命长、节能、环保、显色性好等其他光源无法比拟的优点, 而且随着大功率LED 的迅速发展,越来越广泛的应用于各种指示、显示、背光源、普通照明和城市夜景等众多领域。但是LED 光源发出的光不均匀,因此在对光照有严格要求的特殊场合的照明中,必须根据LED 本身的发光特性和预期的光强分布,来设计一个二次配光结构,将LED 的光强进行重新分配。
配光结构一般有反射面、透镜两种,目前LED的二次配光结构大部分采用的是透镜结构。考虑到透镜有两个透光面和一定的厚度,对于任意一个曲面,若曲面设计或制作过程中稍有偏差,或透镜中夹有一点杂质,对光线的折射和能量分布会产生很大的影响,且在实际应用中透镜对光线有较高的吸收率而造成能量损失。而用反射面作为二次配光结构,理论上只需要一个反射面即可,容易加工且能量损失少,较好地解决了LED 均匀照明的问题。本文旨在设计一种反射面来对LED 进行二次配光。
传统的反射面配光结构依赖于有解析解的二次曲面或二次曲面的组合。但对于发光不均匀的光源,简单的二次曲面或二次曲面的组合都不能实现特定的光强分布。本文采用自由曲面设计的方法,根据光源的发光特性和预期的光强分布建立一个微分方程,用数值求解法求解出这个方程,根据求解结果拟合出自由反射曲面,再利用光学软件对结果进行模拟。
2 反射面设计
本文中光源发出的光线一部分直接照射到照明面上,另一部分经设计的反射面反射到照明面上,最终在照明面上实现一个矩形的均匀照明区域。利用光的反射定律得到出射光线与入射光线的矢量的关系,再利用能量守恒和照度公式求出反射光线携带的能量,最后列出微分方程,通过求解微分方程得出确定自由曲面的一系列点,最终确定所需的自由曲面。
如图1 所示,o′为光源所在的位置,建立坐标系x′o′y′。1 为照明面,为了使计算更加方便,设光源o′到照明面1 的距离为单位长度1,以o′为圆心,作一个单位球,则单位球与平面1 相切于o 点。平面2 为单位球的平行于平面1 的一个切平面。在平面1 和平面2 内分别作平行于x′,y′的x,y 轴和u,v 轴。z′轴的原点在o′处。
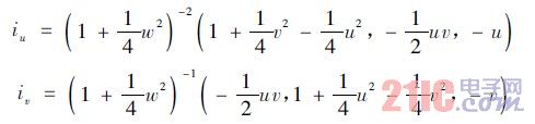
任一条光线与单位球面相交于p 点,则op 为单位矢量,记为i。连接o 与p 点并延长交平面2 于( u,v,1) 点,设p 点坐标为( x′,y′,z′) ,则i =( x′,y′,z′)。
如图所示,可知x′ / u = y′ / v = ( z′ + 1) /2,且x′2 + y′2 + z′2 = 1,可求得: i = (1 + ω2 /4) ( u,v,1 - ω2 /4) ,其中ω2= u2 + v2。

图1 建立的坐标系 [p]
2. 1 光的反射定律
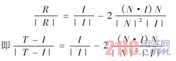
如图2 所示,I 为LED 发出的光线,入射到到反射面上的q 点,R 为反射光线,反射到照明面上的t 点,T 为o′到t 的矢量,N 为反射面上q 点处的法线。

图2 照射到t 点的反射光线光路图
根据非成像光学理论中的反射定律:

其中I = ρi,可求出矢量T 的表达式T = T ( ρ,u,v)。
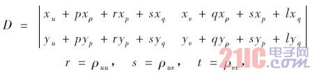
由几何关系可知反射面的法向向量为切平面内两个矢量的矢乘,即N = Au × Av = ( ρi)u × ( ρi)v 。 [p]
由i 矢量可求出:

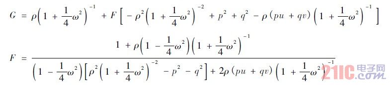
将以上三式带入反射定律,并定义p = ρu,q =ρv,可求得T = T ( u,v,ρ,p,q) ,则反射光线反射到照明面上的点的坐标为:

其中:

2. 2 能量守恒
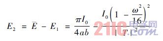
LED 照明面垂直于z 轴朝下,本文采用朗伯体LED 光源,发出的光一部分直接照到照明面上,另一部分被反射后照射到照明面上,在照明面上产生一个长和宽分别为a 和b 的矩形均匀照明区域。根据能量守恒,光源的辐射通量应等于照明面上的辐射通量。
光源辐射到照明面上的辐射通量为Φ1 =∫I0 cosΦdΩ1 + ∫μI0 cosΦdΩ2,式中第一项为直接照射到照明面上的辐射通量,Ω1为该部分入射光线对应的立体角,第二项为经过反射面反射到照明面上的辐射通量,Ω2为该部分入射光线对应的立体角,μ 为反射面的反射系数。照明面上接收到的辐射通量为Φ2 = ∫ EdS,E 为照明面上的平均照度,根据能量守恒有Φ1 = Φ2。由于反射面的反射率可以高达95%以上,这里为了简单起见,不考虑反射能量损失,且郎伯型光源的发光角度为120 度, 则
,有Φ1 = Φ2,所以E = πI0 /4ab。
照到t 点的光有两束, 一束为图示的T 光线,另一束为图示的I 光线的反射光线,则有E = E1 +E2,其中E1为T 光束在t 点产生的照度,E2为B光束产生的照度。
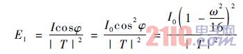
如图3 所示,设点光源的发光强度为I,被照射面积元dS′对它所张的立体角为dΩ,则照射在dS′上的光通量为dΦ′ = IdΩ = IdS′cosθ′,从而照度为E=
由此可求出直接照射在照明面上的光束T 在t点的照度为:


图3 光源的照度 [p]
可求出反射到照明面上的光束R 的照度为:

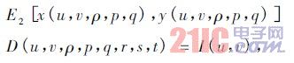
2. 3 偏微分方程
该反射过程中,入射光I 的强度I 与反射光R照到t 点的照度E2满足偏微分方程:

其中:

x 和y 由2. 1 中的结果给出。入射到反射面上的光线I 的强度:

E2由2. 2 中的结果给出。将以上结果带入偏微分方程,列出偏微分方程的具体形式。
偏微分方程的边界条件由朗伯型光源的发光特性和矩形均匀照明区域决定。首先设置反射面的下边缘也为一个长宽比例为a∶ b 的矩形,让直接照射到照明面上的光为一个矩形光斑。而朗伯型LED 光源的发光角度为120°,因此反射面的上边缘在一个顶角为120°的圆锥面上。用数值求解法将上式进行离散化,计算偏微分方程。设置反射面的下边缘初始点坐标作为初始点条件,结合边界条件,带入计算机程序迭代计算方程,求出反射面上一系列的点的坐标。
3 模拟与仿真
将求解出的反射面的一系列点输入建模软件ProE 中,拟合成一个实体反射面,如图4 所示。再将该反射面导入光学仿真软件Tracepro 中,模拟验证最终的效果,得到照明面上的照度分布图,如图5 所示。在中间照明区域,光照的均匀度可达85% 以上,能实现比较理想的照明效果。因为在建模过程中,是先输入点,形成样条曲线,再由样条曲线形成最终的反射面,这个过程中采用了平滑的算法,引入了误差,使最后结果有点失真,但失真程度不大。

图4 反射面结构图

图5 照度分布图
4 结论
本文通过对微分方程的数值求解求出自由反射曲面的面型,依据不同的光源和照明需求得到不同的边界条件和具体的方程,可自由设计反射曲面。
反射面型的配光结构可避免透镜的加工成本高及对能量吸收率高等缺点。
射频工程师养成培训教程套装,助您快速成为一名优秀射频工程师...

