- 易迪拓培训,专注于微波、射频、天线设计工程师的培养
白光LED背光源驱动在液晶电视中的设计与应用
一、背景技术
以白光LED 作为背光源的液晶电视正逐步取代当前占市场主流的CCFL背光源液晶电视。尽显LED 背光电视的超薄,长寿命,环保,节能灯优点。相对于CCFL 背光源,白光LED 背光源具有以下优势:
1)环保,白光LED 采用半导体技术发光,内部不含汞等有害物质,相对于含汞的CCFL 灯管,符合当前全世界环保需求。
2)低功耗,目前白光LED 100lm/w 左右的发光效率使液晶电视背光源功耗大大下降,相对于同等亮度的CCFL 背光源,功耗降低30% 以上。
如果采用动态局部调光技术,将可以进一步降低功耗。
3)长寿命,LED 使用寿命长达10 万小时,可以大大延长液晶电视的使用寿命。
4)光学特性好,LED 背光源有更好的色域和对比度。其色彩表现力强于CCFL 背光源,可对显示色彩数量不足的液晶技术起到很好的弥补作用,色彩还原好。
5)超薄,特别是侧边式白光LED 背光技术的应用,使超薄型液晶电视成为可能。
6)安全,LED 使用的是低压直流驱动电源,十分安全,供电模块的设计相较CCFL 高压驱动也更为简单。
市场方面,以韩国三星为代表的电视厂商全面推广侧边式LED 背光(Edge Light),该技术由于成本低,功耗低,超薄等优势迅速成为市场主流。
二、LED的伏安特性及案例需求
而关于白光LED 驱动设计,也成为半导体行业的一大热点。而选择一个好的LED 驱动设计方案,首先必须了解LED 本身的电气特性。
如图1 所示,额定电流20mA,正向导通电压3.3V 的LED 的伏安特性曲线:可以看出LED电流随电压变化大的特性。由于LED 电流直接决定了亮度的输出,所以必须采用控制电流恒定为前提的驱动芯片,而正向导通电压由该电流决定。

图1 白光LED 的伏安特性曲线
现以CCFL Inverter 控制芯片和LED 驱动芯片领域具有领先地位的美国公司O2Micro 的LED 恒流控制芯片OZ9967 为例,设计一款应用于32”LED 背光源的液晶电视LED 驱动方案。32” LED背光液晶电视采用6 通道120mA 白光LED,每通道串联25 颗LED,总共150 颗LED。
三、驱动方案介绍
OZ9967 方案主要特点:
1)高频升压变换器
2)6 通道电流平衡恒定控制
3)实现外部和内部PWM 调光控制
4)输入欠压锁定
5)Mosfet 过流保护
6)LED 短路保护
7)LED 过流保护
8)LED 开路保护
9)二极管开路保护
10)输出短路保护
该芯片功能结构图如图2 所示。

图2 芯片功能结构图
Pin 脚功能定义:
Pin1-Pin11, Pin28 : LED 电流检测和相应的补偿反馈。LED 电流设定如下:

Pin12 :功率地,Pin16 为信号地。
Pin13 :升压驱动,驱动电压为5V。

Pin14 :为芯片内部5V 参考电压输出。
Pin15 :为升压驱动信号工作频率设定,为0-1.7V 锯齿波:


Pin17 为MOSFET 峰值电流检测,当该点电压达到0.5V 时,芯片会认为Mosfet 过流同时关掉驱动信号直到下一个周期重新恢复。正常工作条件下,该点电压在0 . 2 ~ 0 . 3 V 左右。
Pin18 :芯片供电输入,工作范围6V~40V。
Pin19:使能输入,当信号高于2V 芯片启动,低于0.8V 芯片停止工作。
Pin20 :软启动和环路补偿。
Pin21 :内部PWM 调光频率设定。

当选用外部PWM 调光时,通过分压电阻将该Pin 设置在1V 左右。
Pin22 :输入电压欠压锁定,当该Pin 电压低于1.4V, 芯片停止工作, 当电压超过1.5V,芯片恢复工作状态,可通过电阻分压网络对输入电压进行设定。
Pin23 :调光。可接受线性电压实现内部PWM 调光,当线性输入电压大于1.5V 为最大亮度100% 而小于0.1V 为最低亮度0%,调光频率通过Pin21 设定。如果要实现外部PWM 调光,则只需设定Pin21 为1V 左右,输入0V~3.3V 的PWM 信号即可实现外部PWM 调光,亮度跟随所输入的PWM 占空比改变而调节。
Pin24 :状态输出,正常工作条件下,该Pin为高阻抗信号,当LED 出现开路短路等异常,该Pin 将输出一个低电平信号,该Pin 可作为给主板的异常报警信号或者作为保护动作信号。
Pin25 :定时,配合Pin26 工作。
Pin26 :过压检测,通过分压电阻检测输出电压,当该Pin 电压超过2.37V,升压驱动信号关闭,如果LED 通道全部连接好,Pin25 将开始充电,充电至3V 时,LED 平衡电路将关闭同时该Pin 开始放电,当放电至0.1V 时,平衡电路重新开始工作。在任何时候,当该Pin 电压下降至2.27V 时,升压驱动信号重新启动恢复正常工作。
如果至少一个LED 通道开路,当该Pin 电压升至2.37V 时驱动信号关闭,Pin25 不会动作,当输出电压下降使该Pin 降至2.27V 时,驱动信号恢复并且忽略掉开路的LED 通道继续正常工作。当输出电压短路到地或者肖特基二极管开路,输出电压下降使该Pin 电压下降至0.1V 时,芯片将关闭驱动信号,当该Pin 电压恢复至0.1V 以上时,芯片恢复工作。
Pin27 :LED 短路范围设定,该Pin 电压通过电阻网络设定,当任何一路LED 电流检测的补偿Pin(COMP1-6)电压高于该Pin 电压的4 倍,则该LED 通道将会被关闭,其他通道正常工作。
四、参数计算与确认
由于输出为25 颗LED 串联,6 通道, 所以输出电压约为25×3.3V=82.5V,实际上准确的输出电压由120mA 电流经过LED 灯产生的压降决定。输入VIN=24V,则需采用升压电路(BOOST) 将24V 升至约82.5V, 该升压线路由一颗电感,一颗Mosfet,一颗肖特基二极管,以及输出电解电容组成。OZ9967 通过检测电阻检测LED 电流经过负反馈调节Pin13 驱动信号占空比D,使电感在Mosfet 开通时存储能量关断时释放能量,从而得到所需要的最高输出电压。
OZ9967 基本电路原理图如图3 所示。

图3 OZ9967 基本电路原理图
关键元件选择
1. 电感
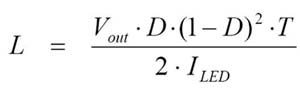
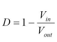
假设电感工作在临界模式,通过升压电路原理,可得如下公式:


其中Vout=82.5V, 最大输出电压=24V, 输入电压T=5us,工作频率,通过电阻电容可自主设定,现假设为200KHz。
ILED=720mA,输出LED 总电流,120mA×6。
D 为OZ9967 驱动占空比。
所以可得D=0.71临界电感L=17μH。
当L>17μH 时,升压电路工作在连续模式;当L<17μH 时, 升压电路工作在不连续模式,故可选用L=22μH,升压电路工作在连续模式。
再计算电感峰值电流:

可得电感峰值电流Ip=5A。
所以可选用22μH/6A 的电感。
2. Mosfet
Mosfet 峰值电流和电感峰值电流相等为5A。
其均方根电流可由下式得到:

可得Irms=3.2A。
由于Mosfet 关断时肖特基二极管导通,其漏极电压为0.2+82.5=82.7V。
考虑关断尖峰及裕量,可选用150V/10A 的Mosfet。
3. 肖特基二极管选择
肖特基二极管峰值电流和电感一样为5A,关断时反向电压为82.5V,考虑关断尖峰及裕量,可选用150V/10A 的肖特基二极管。
4. 输出电解电容的选择

考虑1% 的输出电压纹波,则可得Cout=3μH,可选用100V/4.7μH 的电解电容。
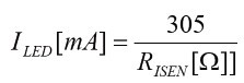
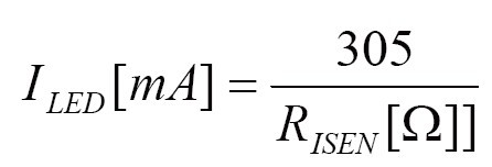
5. 电流检测电阻

可得6 路检测电阻RIsen=2.54Ω6. 电流平衡三极管选择。
正常情况下, 该三极管通过120mA 电流,其功耗P=120mA*Ve 取决于射极电压值。由于LED 等本身的正向导通电压容差,将会导致三极管射极电压值升高,使其功耗增大。当设计要求短路任何一个通道里面的一颗LED 能正常工作时,该三极管射极电压Ve 将增加3.3V,功耗增加0.4W。当设计要求短路任何一个通道里面的两颗LED 能正常工作时,该三极管射极电压Ve 将增加6.6V,功耗增加0.8W ,依此类推,该三极管功耗选择根据设计要求选择其最大功率。通过设计Pin27 电压Vs,当三极管射极电压Ve 增加至大于4Vs 时,OZ9967 芯片将关闭该通道防止功率三极管过热损坏,其他通道正常工作。
五、小结
白光LED 背光源液晶电视的背光驱动设计关键在于保证每颗LED 正常工作以及调光时的电流稳定和平衡,以确保白光LED 的优良光学特性,但是由于LED 正向导通电压的容差比较大,这些电压容差会产生多余的功耗需要被吸收。
OZ9967 芯片方案利用其外置的功率三极管实现电流稳定和平衡并吸收多余的功耗,芯片本身工作温度很低,这样就确保芯片能长时间安全稳定的工作。经过测试,该芯片设计出的驱动板各项性能全部达到设计要求。可实现PWM 调光,屏幕无闪烁。功率器件温度在60℃以下。
射频工程师养成培训教程套装,助您快速成为一名优秀射频工程师...
天线设计工程师培训课程套装,资深专家授课,让天线设计不再难...
上一篇:嵌入式处理器发展综述
下一篇:基于MSGQ模块的DSP的应用简化方案

