- 易迪拓培训,专注于微波、射频、天线设计工程师的培养
基于DSP的超声编码激励发射分析
现代超声医学成像系统采用编码激励脉冲序列来替代单一脉冲作为发射信号[3],这降低了发射脉冲的峰值。在接收信号时经过相关解码电路探测到人体深部的微弱回波信号,选择一组二值自相关性好的编码序列(如GOLAY互补序列对),将其作为超声编码激励成像系统的发射编码,来达到提高图像的信噪比和穿透力,实现动态超声图像的实时处理。
本文以GOLAY码互补序列对为例研究了基于DSP的超声编码激励发射。实验数据表明信号信杂比SCR≈31dB,已经满足医学超声成像的要求。
1 GOLAY码互补序列对
1.1 采用GOLAY互补序列对模型
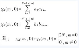
GOLAY互补序列对定义[4]:一对由两种元素构成的等长有限序列,且在任何给定间隔下,一个序列中的相同元素对的个数等于另一个序列中的相异元素对的个数。数学语言描述如下:设有一对长度相同的有限二相序列A={an},an∈(+1,-1),n∈0,1,2,…,N-1和B={bn},bn∈(+1,-1),n∈0,1,2,…,N-1。其非周期自相关函数分别为:

则称序列A和序列B互补,或称A、B为互补序列。二相互补序列长度为N必须是偶数,且为两个完全平方数之和。
1.2 GOLAY互补序列对自相关
要发射的是128位GOLAY码互补序列对,设探头的中心频率为5MHz,则GOLAY码脉宽为100ns,128位需要128×100ns=12.8μs。这里构造GOLAY互补对分别为A、B(各自长度为128bit),其自相关后数据图如图1所示。

由图1可以看出,采用GOLAY码互补序列对作为发射激励码,自相关之后求和,旁瓣已经完全消失。其各自的回波自相关也具有这样的特性。所以,采用GOLAY码互补序列对,其信号穿透力强,图像信噪比高。
2 系统整体设计
2.1 采用DSP理论模型
TMS320F2812是TI公司推出的功能强大的32位定点DSP芯片。该芯片处理能力强、运算速度高,具有丰富的片内外设,如内部看门狗、CAN、MCBSP、SCI、ADC、集成Flash等。该处理器芯片主要用于家电产品、工业控制等高性能的应用领域。
本文使用TMS320F2812[5]作为发射编码的主控芯片,使用多通道缓冲串口(McBSP[6])完成连续128位编码的发射,并且发射速率可以随时修改,以适应不同频率的超声探头(一般探头有3.5MHz、5MHz等)。编码通过DSP的MDXA口发送到超声脉冲电压放大板进行电压放大。放大的电压送入探头换能器进行电声转换,超声在组织内的回波被超声探头换能器接收进行声电转换,之后信号进行放大并验证波形。
2.2 系统硬件设计
系统时钟为30MHz,因为TMS320F2812可以工作在150MHz,所以要想全频率工作,PLL需要5倍频率,即30MHz×5=150MHz;JP3为McBSP多引脚,其中用到了MDXA口,其他引脚在该发射编码程序中暂且不用。引脚SPICLKA、SCITXDA、SPISTEA、MDXA还具有跳线设置功能,只有当SCITXDA设置为高电平,系统从FLASH开始执行程序。该芯片内部集成了看门狗,方便调试、节省资源。XMP/MC一般拉地,则该芯片就可认为是微计算机器状态,无须外扩FLASH和RAM。
连续128位的编码激励信号经过DSP的MDXA口发出之后,送入SN75372非门进行电压提升。提升的电压可以驱动IRFU420 NMOS管,在MOS管源极下拉电阻并在源极处取电压送入探头。当开始产生回波信号时,NMOS截止,回波信号送入运算放大器AD8048同向放大,放大倍数为。为了改善放大部分的波形,在运放输出端加小电容滤波,去除尖锐沿,如图2。
[p]
2.3 软件系统设计
2.3.1 程序设计流程描述
DSP编码发射程序是在CCS2.0环境下实现的。整个系统过程包括程序代码的编写、程序调试以及在线将程序下载到片内Flash中。
CCS(Code Composer Studio)是TI开发的一个完整的DSP集成开发环境。由于TI 的DSP使用非常广泛,使得CCS成为目前使用最为广泛的DSP开发软件之一。程序设计流程图如图3。

2.3.2 回波分析与采集
在超声成像系统中,若不考虑超声在介质中的衰减,则信号通道的框图如图4所示。其中e(t)是激励信号,p1(t)是发射换能器的传递函数,u(t)是声场中的反射函数,p2(t)是接收换能器的传递函数,n(t)是接收电路的电子噪声。E(f)、P1(f)、U(f)、P2(f)和N(f)分别是它们的傅立叶变换。
超声回波r(t)可以表示为:
r(t)=e(t)×p1(t)×u(t)×p2(t)+n(t) (1)

医学超声成像系统的研究中,通常将发射换能器和接收换能器的传递函数视为一致,即:p1(t)=p2(t)=p(t)。为了简化分析,只研究声场中单一散射子的反射,不考虑接收电路电子噪声的影响,即:u(t)=δ(t),n(t)=0。因此,式(1)可简化为:r(t)=e(t)×p(t)×δ(t)。
图5为分贝表示的压缩脉冲包络。从图5可以看出,采用编码激励超声脉冲发射方式,其信噪已经满足了医学超声成像的要求。

本文采用GOLAY码互补序列对作为发射编码激励脉冲,使用DSP2812实现编码的发射,使用MOS进行电压放大。因为回波信号很小,所以进行增益补偿放大。整个过程包括DSP板和发射电压放大及回波信号放大,在CCS2.0软件下编制和调试,具体的时序调试需匹配好,以便正确发射。在工程应用中要注意每次编码发射之后的空闲循环时间与帧频、每帧线数搭配。采集的回波信号在MATLAB中展开,并在MATLAB中进行编码压缩和求和。
射频工程师养成培训教程套装,助您快速成为一名优秀射频工程师...

