- 易迪拓培训,专注于微波、射频、天线设计工程师的培养
MAX9736A/B音频放大器在MP3播放器中的应用
1引言
MAX9736A/B是通用D类扬声器放大器,无需滤波的集成扩展频谱调节器,省去昂贵且大体积的LC滤波器,从而降低EMI和BOM成本。宽范围的单电源电压(8~28V)允许便携式应用中电池直接供电。优异的千位恢复特性消除了D类放大器伪过载时产生的可闻噪声。该器件适用于TV、电话会议、PC、坞站或任何需要低成本、高效率放大器应用。这里给出一种基于D类音频放大器MAX9736A/B的MP3播放器设计方案。
2系统设计结构
图1为MP3坞站(dockingstaTIon)框图。该系统设计安装在一个精心设计的盒子内,包含了所有电子元器件和扬声器。整个系统只需要一个外部电源和信号源。两个2英寸扬声器用于左、右声道,一个5英寸扬声器用于重低音。一片MAX9736B工作在立体声模式,用于驱动左,右声道:另一片MAX9736A工作在单声道模式,用于驱动重低音声道。
3系统硬件电路设计
该系统硬件电路设计有左,右声道和重低音声道两部分。每部分包括输入级、EQ级和功率级,如图2所示。
3.1输入级
左/右声道和重低音声道的输入级相同。立体声、对数抽头电位器用作音量控制,用于调节前置放大器的信号。为避免地回路干扰,输入级采用差分形式,RCA输入连接器没有直接连接到系统地。利用一只100Ω的电阻来降低共模电压:MAX4234提供2倍增益并将差分信号转换成单端输出。输入级的输出以VREF为参考,该电压是功率放大器MAX9736A的参考电压,利用MAX4234缓冲。
3.2EQ级
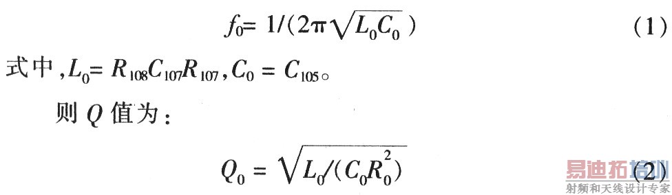
输入级之后,左/右声道信号进入两级参量EQ电路,电路分别位于左/右声道附近。每路参量EQ使用一个运放回转器模拟LC串联谐振电路中的电感。串联电路两接入点实现衰减或放大,这些接入点通过两只电容实现。图3为左声道EQ级电路。图中,电容C105和C106是左声道的第一级参量EQ,是左声道的提升和衰减节点。如果只使用C106(没有连接C105),谐振电路与串联电阻R105(10kΩ)组成一个分压器,对谐振频率信号进行衰减。相反,如果只使用C105则降低反馈,使谐振频率信号提升。如果两只电容都不使用,则该部分电路禁用。
谐振频率f0由式(1)计算可得:
加入第三级EQ电路实现倾斜型滤波,只需RC元件即可:电容C113,用于提升,C114用于衰减和电阻R111。 [p]
作为立体声D类放大器MAX9736在输入级还集成有两个运算放大器,用于通用滤波器,该系统设计利用这两个运算放大器为左/右声道构建2阶高通滤波器。运算放大器提供反相输入端和输出端,可以搭建多反馈反相滤波器。
3.3功率级
该系统设计可提供3个通道的扬声器功率放大器。MAX9736B用于立体声模式,驱动左、右声道扬声器,能够为4Ω扬声器提供2×11W功率。MAX9736A配置为单声道模式,用于第三个声道,驱动重低音放大器。
单声道模式下,MAX9736A的两个D类放大器输出并联,提供更大的输出功率。单声道重低音为4Ω扬声器提供30W功率(VDD=19V)。重低音声道的输入级与左/右声道的输入级相同。输人级之后,左/右声道信号通过MAX4234(U-A)和(U-B)叠加,提供单声道重低音扬声器的驱动。R303在叠加放大器设置重低音扬声器的增益,如图4所示。
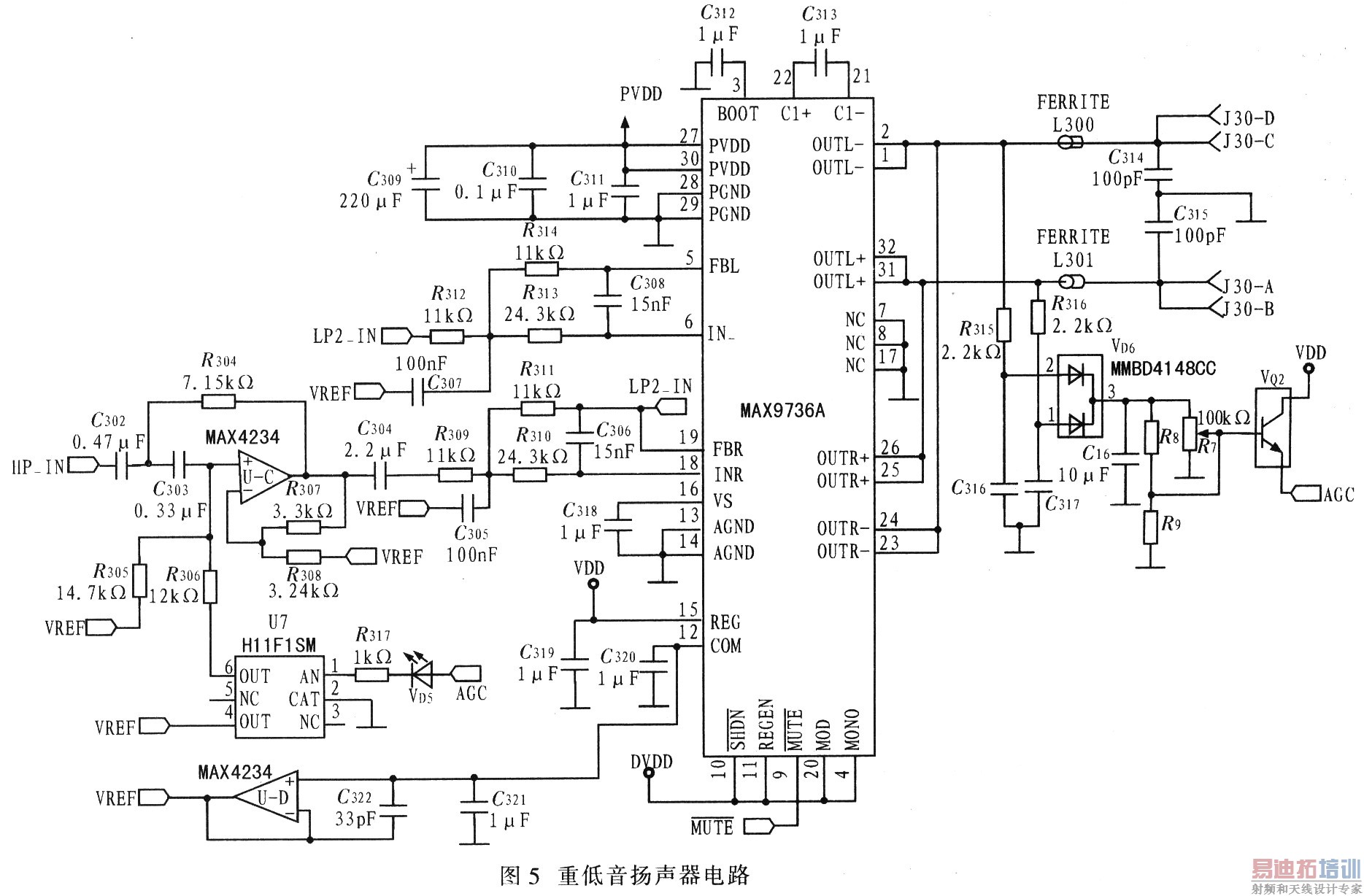
图5为重低音扬声器电路。为了将平坦的频响特性扩展到极低频率,该系统为重低音扬声器提供6阶滤波电路。在开孔扬声器4阶高通频响的基础上增加2阶有源高通滤波器。MAX4234为重低音扬声器提供同相Sallen-Key2阶高通滤波。
[p]
该系统需要高Q值,在40Hz频点处提升13dB。为了避免扬声器和放大器过载.配置Sallen-Key滤波器实现滑动高通滤波;滤波器在放大器输出达到最大值时动态调整。输入电阻R305可自动降低(用光耦FET,U7),从而使滤波器Q值降至0.5以下,即无提升。重低音扬声器放大器U2的输出峰值电压控制光耦FET的输入信号。VD6和C16组成峰值检测器,能够快速检测输出峰值电压。峰值检测器的阈值可调节还是固定,取决于是否安装R7和R8/R9。控制电路工作时将打开LEDVD6。MAX9736A内部的两个运算放大器配置成4阶重低音低通滤波器,作为左/右声道高通滤波器的后续滤波。图6给出重低音声道动态调整仿真结果。在重低音信号达到其门限后,高通滤波器的Q值减小,而截止频率增大。
JI电源输入连接器,用于标准的笔记本电脑同轴插头。典型的笔记本电脑电源的平均输出电压约19V,适用于坞站系统供电。通过C1、C2滤波,电压标记为PVDD,接入电源后点亮VD1蓝灯,如图7所示。
采用简单的复位电路MAX809SEUR+在上电、掉电时为放大器提供一个静音信号,用来避免在输入电路信号建立过程中产生瞬态噪声。静音控制门限通过两只串联电阻分压器(10kΩ和4.22kΩ)设定在约10V。MAX9736采用受专利保护的无滤波调制技术,不需要外部大尺寸电感滤波器。输出端只需简单的铁氧体磁珠。
4扬声器和机壳
重低音扬声器采用Tymphany的5英寸直径扬声器,型号为830945,标称阻抗4Ω,谐振频率47.4Hz。左/右声道采用2英寸扬声器,Tymphany830970,标称阻抗4Ω,谐振频率147.5Hz。低至35Hz的f3用于语音系统,采用6阶滤波电路,包括一个2阶高通有源滤波器。整个系统放置在一个机箱内,包括三个扬声器、调节端口和PCB板。重低音扬声器开口向下安装,机箱体积约3.791mm3,调谐在54Hz。机箱外型尺寸约为355mm~180mm×120mm。扬声器滤波均衡设计为250Hz的4阶Linkwitz-Riley滤波器;而卫星扬声器均衡则包括f=500Hz、增益=+6dB、Q=0.5的参量EQ和f3=3.8kHz、增益=+5.8dB的倾斜型滤波器,图8所示为系统频响。整个系统的频响特性仿真表明最大平坦相应扩展至40Hz。这里扬声器机壳推荐使用性价比更高的材料,譬如木制材料、纤维板(MDF)、工程塑料(ABS)等。
5结束语
该系统设计采用12~20V直流电源供电,利用小音箱提供较高的SPL输出,高效率的D类设计,有源EQ,包括动态低音均衡,高性价比驱动器提供出色的音质。
射频工程师养成培训教程套装,助您快速成为一名优秀射频工程师...

