- 易迪拓培训,专注于微波、射频、天线设计工程师的培养
一种适用于LED驱动电路的压控振荡器的设计
摘要:锁相电路在多路LED驱动芯片中得到了普遍地应用,压控振荡器是锁相电路的关键组成部分。文中采用弛张振荡器的原理提出了一种电压调节范围宽、增益线性度高和具有极低功琵的压控振荡器(VCO)电路结构,并基于0.5μm的CMOS工艺对该VCO进行了设计。仿真结果表明在引入60Hz摆幅为0.5V的电源噪声的情况下,其频率抖动在2%以内,电路平均功耗在1mW左右,满足LED驱动的应用。
关键词:锁相电路;压控振荡器;调节线性度;频率抖动
近年来,LED凭借着节能、环保和长寿耐用等方向的优势成为继白炽灯、荧光灯和高强度气体灯之后的第四代光源由LED具有发射光特性随着平均驱动电流而转移的性质,大多数LED驱动芯片设计采用PWM调光。PWM调光信号必须存满足回应时间要求的前提下,在调光频率与对比度方面进行折中 一般来说调光频率越低对比度越高。锁相电路因自身特点在多路LED驱动芯片中得到了普遍地应用,由锁相环时钟器提供LED芯片所需的调光频率,而VCO为锁相电路的重要组成部分,所以一个线性度好、功耗低的VCO对低功耗LED驱动芯片的性能具有重要影响。本文设计了一款用于LED驱动芯片的低频VCO电路,具有较低的功率耗散,增益线性度好且增益可调的特点。
本文首先介绍了VCO的基本原理,然后对本文所提出的压控振荡的原理和微调增益线性度进行了分析,并通过HISPICE软件对电路进行仿真。
1 VCO的设计
1.1 基本原理
锁相技术是一种利用反馈技术实现频率和相位同步的技术,其主要作用是将电路输出的时钟与系统的参考输入时钟保持同步。当参考输入时钟的频率或相位发生改变时,锁相环会检测到这种变化,并且通过其内部的反馈系统来调节输出频率和相位,直到两者重新同步。

其中压控振荡器是锁相电路的关键组成部分,在大多数应用要求振荡频率是“可调的”,也就是说,其输出频率足一个输入的函数。这个输入经常为电压。一个理想的压控振荡器其输出频率是其输入电压的线性函数,如图2所示:
ωout=ω0+K0Vc (1)

这里,ω0表示对应于Vc=0时的截距,而K0表示电路的增益(单位为rad/V·s。频率可以达到的范围,ω2-ω1,被称为“调节范围”。 [p]
1.2 电路结构
通常从振荡电路的分类来看,一般分为谐波式振荡器和弛张振荡器两种。前者由于需要集成晶体与电感,在集成电路中实现有一定的难度,同时其输出频率不能够通过外部调节在大范围内变动,因此在现代集成电路设计中,更多的压控振荡器属于弛张振荡器。本文所设计的压控振荡器采用的就是弛张振荡器的原理,电路结构如图3所示:

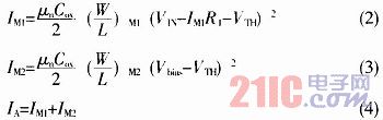
M1和M2管工作时分别产生电流IM1和IM2,两电流之和IA为电流镜的输入电流。

式中μn为沟道载流子的迁移率,Cox为单位长度栅氧化层电容,VBIAS心为一基准电压。
电容C1的充电电流为IC,对于一恒定的充电电流,由于电容电压不会产生突变,所以C1上的电压会随时间线性上升。当C1上的电压高于VH时,D触发器的R端置1,则Qn为1,因此VOUT也为1,而M3管开启,电容C1上的电荷开始通过R2、M3到地放电,则C1上的电压开始下降,当C1上的电压低于VL时,D触发器的S端置1,VOUT为0,M3管截止。IC继续给电容C1充电,C1上的电荷增多,继而电压上升。如此反复,VOUT端为高电平为1,低电平为0的方波。
IC·ton=C1·(VH-VL) (5)
ton为电容充电时间,即M3管导通时间。
由于IC相对于电阻R2和M3组成的通路的放电电流要小的多,所以放电时忽略IC对电容的充电作用。
根据零输入响应电容电压的公式
当VIN为0时,VCO依然有频率输出因为VBIAS会使M2常开,所以电流IA始终不会为0。IM6,IM7,IM8分别为IA的镜像电流,而IC=IM6+IM7 +IM8,所以IC也应为电流IA的镜像,数字信号VA与VB控制着M4和M5的开启和关断,从而控制电容充电电流IC的大小,继而改变VCO的输出频率。
调节线性度是描述压控振荡器的增益的稳定性。因为压控振荡器的增益直接与锁相环系统的稳定性相关,所以必须保证在整个调节范围内有高的线性度、若是KVCO变化大则会导致锁相环的失锁,VCO的输出只为高电平或是低电平。
在M1加上R1是为了引入负反馈,使IM1随VIN的变化更线性。一般R1越大线性度越好。由于版图面积和系统要求,R1一般选择在几百千欧左右。因为IM是uA级,所以公式(2)可简化为
IM1≈(VIN-VTH)/R1 (8)
在电路设计中,使时间常数τ尽量小,则相对于充电时间,放电时间可忽略、所以
f≈l/ton (9)
因此频率f与VIN成线性关系 [p]
1.3 仿真结果
利用上华0.5μm CMOS工艺和HSPICE软件对这种设计方法进行了仿真验证。

如图4所示,曲线依次从上至下为VA=0,VB=0;VA=1,VB=0;VA=0,VB=1;VA=1,VB=1四种情况下VOUT的频率随输入电压VIN变化的仿真图。可看出在芯片所工作的输入电压1~4V间,该VCO的工作稳定。具有良好的线性度。

在相位锁定的状态下,如图5所示, (b)、(d)VA=0,VB=0;VA=1,VB=1两种情况下在锁相电路稳定的时,VCO在电源电压引入噪声时的频率抖动情况。两种情况下的频率抖动分别为:
4672.4×3.6957×10-6≈1.7%
102590×135.38×10-9≈1.4%
经仿真得出VA=0,VB=0;VA=1,VB=1两种情况下在锁相电路稳定的时,VCO的平均功耗分别为550.24μW,1.1352mW。
2 结束语
本文所设计的VCO具有结构简单,调节线性度高,功耗低等优点。由于引入负反馈电阻R1使增益更稳定,当给电源电压加上摆幅为0.5 V,频率为60Hz的正弦信号噪声时,输出频率的抖动在2%以内,这个电路的功耗在1mW左右。此款VCO可广泛应用于低功耗,低频LED驱动电路中。
射频工程师养成培训教程套装,助您快速成为一名优秀射频工程师...

