- 易迪拓培训,专注于微波、射频、天线设计工程师的培养
插入损耗求谐振腔品质因数
录入:edatop.com 点击:
找到这样一幅图关于插入损耗求Q值的

大致意思是

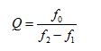
其中f1、f2是通过S12(S21)的3dB带宽确定的;
问题是:S21的值不是都大于-3dB才对吗?这里为什么会在-30dB以下?
请各位大神解答啊!!

大致意思是

其中f1、f2是通过S12(S21)的3dB带宽确定的;
问题是:S21的值不是都大于-3dB才对吗?这里为什么会在-30dB以下?
请各位大神解答啊!!
一般测单腔的Q值时,我们将插损值调到-27dB附近才认为是对应频点的Q值。
申明:网友回复良莠不齐,仅供参考。如需专业解答,请学习易迪拓培训专家讲授的HFSS视频培训教程。
上一篇:为什么增加扫频范围是s11变化很大
下一篇:网络分析仪测电阻


