- 易迪拓培训,专注于微波、射频、天线设计工程师的培养
请教理想复合左右手传输线公式问题
录入:edatop.com 点击:
再书里看到如下模型:

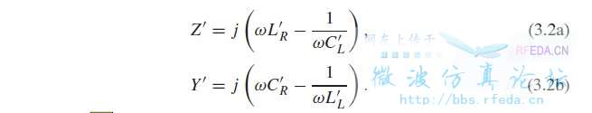
其中有以下公式推导:





按照所说的推导过程,怎么能得到公式3.10的结果?怎么会出现正负号呢(即S(w)函数)?我算的结果不是这样的。请教大牛!

其中有以下公式推导:





按照所说的推导过程,怎么能得到公式3.10的结果?怎么会出现正负号呢(即S(w)函数)?我算的结果不是这样的。请教大牛!
申明:网友回复良莠不齐,仅供参考。如需专业解答,请学习易迪拓培训专家讲授的HFSS视频培训教程。
上一篇:端口模式的问题
下一篇:HFSS仿真时提示端口是非平面的错误


