- 易迪拓培训,专注于微波、射频、天线设计工程师的培养
圆形微带贴片天线计算公式
录入:edatop.com 点击:
新人求助
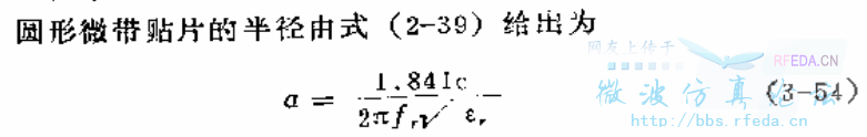
圆形微带贴片天线设计的半径计算公式,我找到微带天线理论与工程里一个公式,但分子看不清楚

另外,同轴线馈电的话,有没有馈电点位置的公式啊?还有,接地板是不是也要和矩形贴片一样比贴片大6h?
求指点
圆形微带贴片天线设计的半径计算公式,我找到微带天线理论与工程里一个公式,但分子看不清楚

另外,同轴线馈电的话,有没有馈电点位置的公式啊?还有,接地板是不是也要和矩形贴片一样比贴片大6h?
求指点
申明:网友回复良莠不齐,仅供参考。如需专业解答,请学习易迪拓培训专家讲授的HFSS视频培训教程。
上一篇:HFSS学习思路
下一篇:仿真后S11几乎是一直为0,为什么


