HFSS仿真软件完成微带天线设计
录入:edatop.com 点击:
HFSS仿真软件完成微带天线设计
- 一、实验目的
- 二、实验原理
- 三、实验过程
- 四、实验结果
- 4.1 优化前S谐振点观察
- 4.2 查看谐振点与贴片长度L、贴片宽度W之间的关系
- 4.3 优化结果处的谐振点观察
- 4.4 优化结果处Smith chart
- 4.5 优化结果处电压驻波比
- 4.6 优化结果处图
- 4.7 优化结果处XOZ平面方向图
- 4.8 天线设计详细参数
- 五、实验收获
一、实验目的
- 通过实际计算与处理,理解微带天线基本理论;
- 学习运用HFSS进行基础的模型仿真。
二、实验原理
2.1 微带天线原理
微带天线原理主要参考钟顺时教授的《微带天线设计与应用》,其PDF版本可在此处下载,故在此不再赘述。
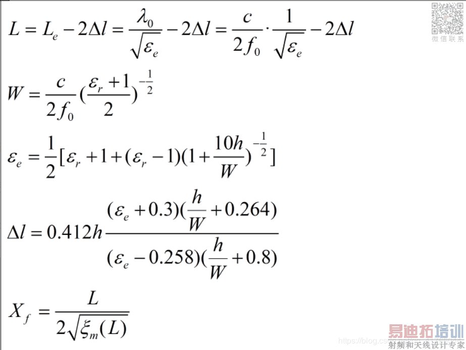
2.2 微带天线尺寸计算
在给定介质层厚度(h)、介电材料的情况下,矩形微带天线的工作频率和辐射元的长度L、辐射元的宽度W相关:

三、实验过程
- 计算相关参数
本次实验设计的矩形微带天线工作中心频率为2.45GHz,选择Rogers R04003作为介质板材,其相对介电常数为3.33,厚度h=5mm,据此可以计算出:- 贴片宽度:W=41.4mm
- 贴片长度:L=31.0mm
- 馈电位置:Xf=9.5mm
- 在HFSS仿真软件中构造模型
- 模型尺寸如上一步计算出来的数据;
- 模型示意如图:

四、实验结果
4.1 优化前S谐振点观察

4.2 查看谐振点与贴片长度L、贴片宽度W之间的关系

4.3 优化结果处的谐振点观察

4.4 优化结果处Smith chart

4.5 优化结果处电压驻波比

4.6 优化结果处图

4.7 优化结果处XOZ平面方向图

4.8 天线设计详细参数

五、实验收获
通过本次的实验,我主要有以下收获:


