HFSS端口设置中Integration Line,Renormalize和Deembeding 是什么意思 - QA01
录入:edatop.com 点击:
Q: 在端口设置中,Integration Line 有何作用?Renormalize和Deembeding 是什么意思,有何作用?
A: Integration Line(积分线)是端口定义的选项,一般定义在端口上沿电场梯度最大的方向定义。其作用有以下几项:
1)确保端口相位的一致性,避免多端口求解时出现的端口相位相差180 度的情况,如果关心S参数的相位,或者在多端口的天线系统中,推荐定义积分线。正确的定义如图1.1(a)所示。

图1.1(a)
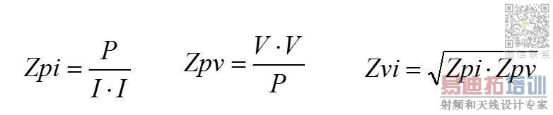
2)求解端口的Zpv和Zvi,即功率-电压阻抗和电压-电流阻抗,如图1.1(b)所示。HFSS默认求解的是Zpi,即功率-电流阻抗。对于TEM模的传输线来说,三者是相等的,对于非TEM模的传输线来说,三者不等,积分线的作用是告诉HFSS, 求解电压时,电场的积分路径。


图1.1(b)
3)定义极化E场,对于圆波导或正方形波导,由于垂直极化和水平极化两个模式的截止频率相同,为了保证模式求解和我们计划的一致,可通过定义积分线,并将极化E选项选中,控制两个模式。图1.1(c)表示圆波导端口模式定义。

图1.1(c)
Renormalize指的是重新归一化。HFSS直接得到的是广义S参数,HFSS会根据求解得到的端口阻抗进行归一化得到S参数, 端口阻抗有可能会随频率变化,如波导问题。如果要得到给定阻抗下的S参数,可通过端口后处理选项卡中的重新归一化选项指定S参数的归一化阻抗。如图1.1(d)所示。

图1.1(d)


