- 易迪拓培训,专注于微波、射频、天线设计工程师的培养
用于4~20mA电流环路的低成本HART发送器的设计
利用可寻址远程传感器数据通路(HART)协议,过程测量与控制器件可通过传统4-20mA电流环路实现通信。这种协议使用1200 Hz和2200 Hz频率的移频键控(FSK)。此处,一个 1200Hz周期代表一个逻辑1,而两个2200Hz周期代表逻辑0。由于FSK波形的平均值始终为0,因此模拟4-20mA信号不受影响。
理想情况下,FSK信号由叠加在DC测量信号上的两个频率正弦波组成。但是,相连续FSK正弦波的生成是一种十分复杂的过程。因此,为了简化HART信号波形的生成过程,HART规范的物理层对参数极限值进行了定义,标准化波形的振幅、形态和转换速率均不得超出这些参数极限值。在这种情况下,一种梯形波形非常适合于这种应用,图1显示了其各个极限值。

图1:梯形HART电流波形的最小与最大值
图2所示HART发送器提供了一种简单且低成本的解决方案,其产生一个梯形HART波形,并将它叠加在一个可变DC电平上,最终把产生的输出电压转换为电流环路。

图2:低成本HART发送器
HART FSK信号(常常由本地微控制器单元[MCU]生成),被应用于首个NAND栅极(G1)的输入端。MCU的通用I/O端口的第二个输出,起到一个有效高态“激活”(ENABLE)信号的作用。G1控制两个远端NAND栅极(G2和G3),其输出通过高阻抗分压器R1和R2连接到一起。
由R4和R5组成的第二个分压器,将5V电源分为一个VREF = VCC/2的基准电压,即2.5V。只要“激活”为低电平,G2的输出便为低态,而G3输出为高态。由于高阻抗负载,NAND输出拥有轨到轨功能;R1=R2 时,A1非反向输入VIN的输入电压也为2.5V。
当“激活”为高态时,G2和G3输出相互换相,从而在VIN下形成一个小方波,其围绕VREF对称摆动。VIN的峰值到峰值振幅为:

VS为正5V电源,而R1|| R2为R1和R2的并联组合。
把图2的电阻值插入方程式得到VIN(PP)=200Mv的输入电压摆动,其让VIN摆动位于2.4V和2.6V之间。当VIN升至2.6V时,A1的输出立即达到正饱和状态,并通过R6和R7对C3充电。C3 (VHART) 的实际HART电压线性上升,直到达到2.6V为止。这时,放大器A1迅速退出饱和状态,并起到一个电压跟随器的作用,从而将VHART保持在2.6V。当VIN下降至2.4V时,A1输出进入负饱和状态,并通过R6和R7对C3放电。之后,VHART线性下降,直到其达到2.4V为止。这时,A1退出饱和状态,并再次起到一个电压跟随器的作用,将VHART保持在2.4V。
由此产生的梯形波形在振幅方面与VIN相等,并且围绕VREF做对称摆动。它的转换速率计算方法如下:

其中,VSAT为A1的正或负输出饱和电压。
由于VHART的AC电流比VSAT小,因此VHART可以由其静态电平VREF得到近似值。另外,A1轨到轨输出能力结合R6负载高阻抗,可得到5V和0V的输出饱和电平。假设R7远小于R6,则前面表达式可简化为:

如果我们把图2的R6和C3组件值插入方程式,则梯形波形的转换速率结果为±1.25 V/ms。
把VHART (200Mv)的峰值到峰值振幅调节为1mA HART峰值到峰值电流信号,让1.25V/ms电压转换速率相当于HART电流信号中6.25 mA/ms的电流转换速率,从而完全位于图1所示极限值范围以内。
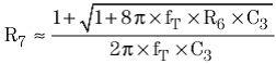
要求使用R7来将A1输出隔离于大电容负载C3,目的是维持闭环稳定性。具体要求值取决于A1的单位增益带宽fT以及R6和C3的值。R7的有效近似值计算方法如下:

A1必须具有相当宽的频率响应,并且其转换速率要明显快于HART梯形波形。OPA2374是TI一种低成本的双运算放大器,其拥有5 V/μs的高转换速率和fT = 6.5 MHz的单位增益带宽。另外,放大器输出具有轨到轨驱动能力,其典型静态电流为每个放大器 585μA。
第二个放大器A2把HART信号叠加于可变DC电压VDC上。A2输出电压VOUT变为:

使R8到R11值相等,可将上面方程式简化为:

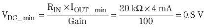
由于VHART由一个200Mv梯形波形(围绕VREF对称摆动)组成,因此A2输出仅包含叠加在可变DC电平上的小HART波形。将VOUT送入TI的XTR115电压到电流转换器,可使每个200mV VDC 相当于1Ma电流。因此,把VDC从0.8V变为4.0V,相当于一个4-20Ma电流范围。
电阻器R8到R11值应足够大,以最小化对C3充电电流的负载影响,但是又不能太大,以免A2输入偏差电流引起误差。适当的电阻值可将VREF从VOUT完全消除,这样VOUT = VDC ± 100 mV。因此,R4和R5取值不当,或者电压电源存在差异,都不会对VOUT的DC电流产生太大影响。
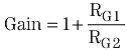
XTR115是一种双线、精密、电流输出转换器,其通过一个工业标准电流环路发送模拟4-20mA信号。这种器件拥有精确的电流调节和输出电流限制功能。它的片上5V电压调节器用于为外部电路供电。为了确保对输出电流IOUT的控制,电流返回引脚IRET起到一个本地接地的作用,并对外部电路中使用的所有电流进行检测。它的输入级拥有100的电流增益,其由两个激光修整增益电阻器RG1和RG2设置:

因此,输入电流IIN产生输出电流IOUT,其等于IIN × 100。IIN的电势为0(参考 IRET)时,把输入电压转换为规定输出电流所要求的电阻器值为:

因此,将200mVPPHART电压转换为1mA电流,要求输入电阻为:

另外,RIN对4-20mA电流范围的输入电压范围定义如下:

以及:


图3:HART发送器信号通路的信号电压
结论
简单运算放大器电路可用于为传统4-20mA电流环路设计一个低成本的HART发送器。
图3显示了2V DC输入时HART传输期间不同测试点的信号电压。匹配差分放大器A2的电阻器,移除了输出信号的VREF分量。因此,基准电压偏差对VOUT没有影响。这样,输出信号便围绕2V DC输入做对称摆动。
如何成为一名优秀的射频工程师,敬请关注: 射频工程师养成培训
上一篇:RFID的智能制衣生产线管理方案
下一篇:基于RFID技术的仓储管理提货方案

