- 易迪拓培训,专注于微波、射频、天线设计工程师的培养
无源超高频RFID应答器的设计
射频识别(RFID)技术的应用范围非常广。由于具有非触点和非视距的特性,RFID特别适用于供应链的管理。无源RFID在低频(125 kHz)和高频(13.56 MHz)市场上出现已经有一段时间了。在2003年以前,已经出现了多种UHF RFID标准。麻省理工学院汽车标识中心(Massachusetts Institute of Technology's Auto-ID Center)(位于马萨诸塞州剑桥)意识到了多种专利RFID标准的问题,认识到地方性的协议会阻止RFID技术的发展和普及。为营造互用和国际性遵从的规章,就需要单一、开放的标准。他们推荐的下一代UHF RFID——即Gen 2标准的前身有两个意义。一旦单一国际性标准确立下来,基于UHF RFID的系统应用将更快、使用更方便、价格更便宜、系统更鲁棒;会出现多供应商渠道。该汽车标识中心2003年6月在瑞士苏黎世一个讨论会上提出启动Gen 2的工作。他们最终将开发和商业化该标准的工作转化成EPCglobal, 2004年12月已将该标准批准为"860 MHz到960 MHz第二代UHF RFID通讯协议"。
从RFID IC设计角度看,RFID存在两个主要的设计约束:功率可用性/带宽和应答器的复杂性。无源UHF RFID应答器设计要求折衷考虑功率要求、复杂性和芯片尺寸等因素,以获得期望的性能。
目前,一些主要国家对UHF工业、科学和医学(ISM)频段的频谱分配、带宽和辐射功率的要求差异很大。(辐射功率常被定义为有效的各向同性辐射功率(EIRP))。根据"EPC全球"标准,UHF频段范围从860 MHz到960MHz,允许的功率水平为4W。但不同地区对UHFISM频段的要求不同:在北美,UHF ISM频段为902 MHz到928 MHz,最大EIRP为4W;在欧洲,UHF ISM频段为865MHz到868 MHz,最大EIRP为2W;在日本,UHF ISM频段为952MHz到954 MHz,最大EIRP为4W。
应答器的复杂性是另一个设计约束因素。应答器的接收范围取决于RF IC片(标签)的最低导通功率(阈值功率)。在UHF RFID系统中,无源反向散射原理经常用在从标签到读卡器的反向链路中。可读取范围常常由从读卡器到标签的前向链接中标签的可用辐射功率决定,这是因为到达读卡器RF前端的可用反向散射信号强度大约为-25~-65dBm。

图1:基本的UHF RFID应答器由整流器、调制器、解调器以及处理逻辑电平协议和存储功能的数字电路。
如何选择合适的工艺来制造RFID应答器芯片也是一个挑战。为满足低功耗要求,通常使用导通电压低、结电容低以及驱动电流大的肖特基点触点型二极管。因为生产肖特基触点的工艺不属于标准硅CMOS半导体工艺,所以现在正在对用标准(低成本)数字体CMOS工艺制造肖特基触点进行研究。对更昂贵工艺的研究也在进行,例如可制造高速双极结型晶体管(BJT)器件的硅BiCMOS,以及低功耗性能非常优异的绝缘硅(SOI)技术。下面讨论设计基本UHF RFID应答器所需的RF电路关键技术,包括整流器、调制/解调器和数字模块等关键模块。
RFID应答器的整流器电路
UHF RFID应答器由4个构建块组成:整流器、调制器、解调器以及处理逻辑电平协议和存储功能的数字电路(图1)。在无源RFID系统中,能量取自于入射的询问波。因为询问波的能量很少,所以将应答器的功率保持在最小水平非常关键。
无源RFID应答器利用整流器电路将耦合的电磁波功率转换成芯片所需的直流电压。描述整流器电路性能的参数包括输入阻抗Zin或芯片的品质因子(Q)、芯片的运行功率Pin和电压Vin。整流器电路必须能将入射RF能量以最大效率(η)转换成直流能量。电路设计工程师必须在维持高转换效率的同时,获得最大的输出电压及输入阻抗。普通的全波整流器和Dickson电荷泵为两个常用的整流结构。
采用两个二极管级联结构的全波整流器很常见。此外还存在这种结构的变体,包括一些基于NMOS和PMOS开关的结构。最主要的是,全波整流器的效率很高。但是,全波整流器要求输入电压超过3 VTH,这样芯片可以输出期望的输出电压。因此,全波整流器电路在UHF RFID应用中的工作范围有限,除非它带有高辐射电阻天线和高Q值匹配网络,以便对输入电压进行放大。匹配网络的Q值一般只为10量级。

图2:Dickson电荷泵是UHF RFID整流器电路的一种可选结构,图中是Dickson电荷泵的工作原理图。
UHF RFID整流器电路的另一种可选结构是Dickson电荷泵(图2),它主要用在非易失性存储器中,以产生EEPROM电路所需的高编程电压。因为大多数RFID芯片也包含非易失性存储器,所以设计工程师可以重用该电路拓扑,实现产生高电压的电路,从而节省开发时间。
Dickson结构的简化等式如式1。

其中,Vp,RF =输入RF信号幅度,Vf,D=二极管正向压降。
Dickson电荷泵几乎可用任何半导体器件来构建,但采用肖特基二极管和低阈值电压(VTH )MOSFET的设计具有最佳性能。Dickson电荷泵电路要求输入电压很小,设计工程师可以通过控制级数(N)来选择想要的输出电压和输入阻抗。但由于整流器件数量多,并存在泄漏电流和寄生参数,Dickson电荷泵的功率转换效率较低。
RFID应答器的调制器和解调器
RFID调制器将应答器数据发送到RFID询问器或读卡器。反向散射调制被专门用在UHF RFID系统中。EPC Gen2协议定义了幅移键控(ASK)和相移键控(PSK)两个调制方案。在ASK调制方案中,两个阻抗状态(只改变纯电阻,开路或短路或等于两个非零电阻)在两个天线引脚之间互相切换。用户可以选择任何一个状态来表示逻辑1或0。在PSK调制方案中也有两个受控的阻抗状态,但只改变虚部值。为在两个虚部电抗值之间切换,设计工程师常常使用大MOSFET或带压敏电容的变容二极管。
图3:天线/RFID芯片连接的简单等效电路可用电抗与电阻并联来表示。
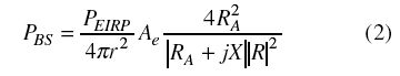
在UHF RFID芯片设计中,天线端的等效阻抗可用电抗与电阻并联来表示(图3)。假设天线具有最小散射,则反向散射功率由式2表示:

其中,PEIRP=有效的全向辐射功率,RA=天线电阻,R=芯片电阻,Ae=有效的雷达截面(RCS)面积。
在ASK调制中,天线端的等效阻抗为实数(X >> R),并在R1和R2之间对数据信号进行了调制。为使两个状态具有一样的阻抗失配,选择R1×R2=R2A 就足够了。此时,在这两个状态中从天线传送到负载的功率相等。假设R2>R1,为调制天线端的等效电阻,可以使用一个由数据信号驱动的开关,将电阻RMOD与应答器输入电阻(R2)并联,这样R1=R2||RMOD。当不接电阻RMOD时,从天线等效的电阻等于R2,从天线传送到负载的所有功率PIN2都可用来给应答器供电。当连接RMOD时,天线端的等效电阻等于R1,从天线传送到负载的功率PIN的一部分可以用来为发射应答器供电,其余功率消耗在电阻RMOD上。当PIN2等于PIN1时,R1= R2。因此,从设计角度看,在ASK机制中不可能为标签IC提供恒定功率。相应的等式为:

其中,PAV=平均功率,Ae=有效RCS面积。
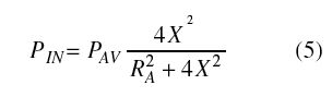
在PSK调制方案中,R= RA,这样应答器近似处于匹配状态,虚部分量X与数据信号进行调制。反向散射信号的相位信号θ由式4确定:

如果对X进行以零为中心的对称调制,则应答器的输入功率PIN在调制期间保持不变,由式5确定:

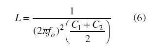
大多数PSK调制器允许用输入信号对输出电容进行调制。应答器中变化的电抗分量常常是容性的,因为这更节省IC面积,并能获得高Q值。与IC制造工艺中的 感性元件相比,它的Q值很小,而且几乎不占面积。在应答器前端,当信号发生变化时,可采用匹配网络(感性元件),以便与在调制器输出端等效的电容平均值发 生谐振,因此:

其中,C1=当输入信号等于1时的调制器输出电容,C2=当输入信号等于0时的调制器输出电容。
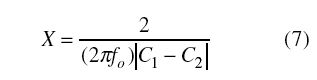
天线端的等效平均电抗(X)包括微分电容分量,并由式7确定:

在ASK和PSK的实现中,调制方案的选择将影响芯片的输入阻抗、位误码率(BER)和应答器的输入功率。应答器的输入功率也是限制工作范围的最关键因素。因此,尽管ASK具有面积更小、性能与频率无关的优点,但由于PSK能为应答器提供恒定电源,所以设计工程师通常更愿意选择PSK。
解调器被用来将RF载波中的数字信息解调出来。因为成本和电路板面积是主要的考虑因素,所以一般不考虑昂贵的相干检测/超外差检测。与幅度调制(AM/ASK)兼容的调制机制(DSBASK、SSB-ASK和PR-ASK)是询问器-标签调制方案的实际选择,正如EPC Gen2协议所定义的那样。对ASK兼容信号进行解码所需的模拟元件是类似的,也是整流器和比较器。有些系统采用脉宽调制(PWM),因此除了使用包络检波器外,这些系统中的解调器必须测量输入信号的脉宽,并利用脉宽甄别器区分信号中的数字1和数字0信息,否则数字模块必须区分基于不同编码的脉冲。
ASK采用最简单的RF检波,它使用了一个用二极管电容网络实现的基本包络检波器。ASK解调器将以幅度变化形式存在的信息解调出来。解调器实际上是一个边沿检波器。在RFID系统的前向链路中不采用PSK,因为PSK解调采用了超外差检波,需要本振(LO)、混频器和滤波电路,这些电路非常复杂,而且需要很大的裸片面积。

图4:RFID应答器的逻辑内存映射。
解调器的工作原理是:输入载波通过整流器和包络检波器,获得其包络信息;包络检波器后面的低通滤波器屏蔽载波上其余的纹波噪声;随后信号被馈送到迟滞比较器,产生输出。在边沿检波设计中必须考虑三个因素:低通滤波、比较器的迟滞性和比较器的灵敏度。RFID读卡器决定了给数据率加标签、编码和包络屏蔽期间的低通滤波参数。滤波器带宽应该小于信号带宽。有关数据包络的规范在RFID空中接口协议中有说明。
比较器必须满足UHF RFID应答器解调器定义的性能要求。应答器输入电压的动态范围应根据不同的物理区域,在几百毫伏到几伏左右变化。包络检波器和低通滤波器后面的信号应具有相同的幅值范围。比较器的性能指标包括比较器的共模输入电平,以及以共模输入电平百分比表示的差模输入电平。
比较器的另一个重要参数是迟滞性。当模拟输入信号缓慢移动或者包含噪声时,但输入信号处于阈值点附近时,比较器输出可能发生振荡。利用迟滞性可使输出转换期间的振荡最小,但高迟滞性也意味着灵敏度下降、转换速度变慢。
RFID应答器的数字控制模块
数字控制模块处理询问命令、执行防冲突协议、进行数据总校验、运行存储器读写操作,并执行输出控制和数据流动。EPC Gen2标准的命令组很复杂,需要使用复杂的数字核。根据用户需求,如果要实现全部的Class 1(包括读写)性能,则需要非易失性存储器。
询问器利用三种基本操作管理标签组。这些操作中的每一个都包含一个或多个命令。这些操作定义如下:
1.选择过程是询问器选择RFID标签组用于编目和读写的过程。在编目之前,询问器可能使用一个或多个"选择"命令来选择某一特定标签组。
2.编目过程是询问器识别不同标签的过程。询问器通过以发射四个节中的一个之一发射"查询"命令,开始编目过程。一个或多个RFID标签可能回答。询问器检测到一个信号标签回答后,请求该标签的PC、EPC和CRC-16。每次只能一个节进行编目操作。
3.读写过程是询问器与单个标签交互问答(读或者写)的方法。在读写之前,单个标签必须惟一标识。读写包括多个命令,其中有些使用了R => T连接的一次基于焊盘覆盖编码。
与读卡器命令一致,标签将把其内部状态以7个响应中的一个发送: Ready,ArbitRAte, Reply,Acknowledged,Open, Secured和Killed。标签可能同时支持多达4个会话,使其可将分离的和编目的标签连接至目前环境下的各个读卡器。该标签通过分时,使不同的读卡 器分享其他的标签。双向冲突检测和排除控制由询问器和标签来处理。在编目阶段,询问器首先发出Query命令,一旦接收,标签将把产生的15b随即数(RNG) 代码从内部装入其槽计数器。如果装载的RNG为零,标签将通过把它本身的代码反射回轮询器的办法来回答轮询器。如果装载的RNG不为零,标签保持原来的状 态。读卡器则给标签发送另一个QueryRep。一旦接收到,标签将减少其槽计数器数,并且当值变为零时回复。如果发送Query或QueryRep命令 后没有检测到冲突,询问器将给标签发回ACK(应 答)命令。标签接收ACK命令后将变为应答状态,准备接收下一个命令。询问器将记录已成功轮询的标签。如果回复后,标签没有从读卡器接收到ACK命令,就 回到Arbitrate状态,减小槽计数器的值。冲突控制机制基本上取决于装入槽计数器的RNG值。因为可以回复询问器可能性为215,所以不同标签可以 以时分交替方式共享通信。
标签存储器分为四个不同的组,每一个都包含0或者更多的存储字(见图4):
1.包含取消和读取密码的保留存储器。
2.包含有一个CRC-16、协议控制(PC)位的EPC存储器,以及标签连接或将连接的用来标识物体的电子产品码(EPC)。
3.TID存储器包含有一个8-b ISO/IEC 15963分配类标识,用于询问器惟一标识常规命令和/或标签支持的可选功能。
4.允许用户定义数据存储的用户存储器。存储器结构由用户定义。
所有内存条的逻辑地址从零(00h)开始编址。物理内存映射由销售商定义。
在EPC Gen2协议中,标签设计工程师可以自由选择ASK或者PSK的反射调制,询问器(读卡器)必须能支持任何一个类型的解码。除了选择调制类型外,要发送的 数据还必须被编码成FM0基带或者Miller调制信号。数字模块应该根据编码选择,插入合适的前同步信号序列。数字模块也必须包含一个可以将输入脉冲船 转换成有效命令的解码器。
从电路设计角度看,除整流器外,应答器的数字模块消耗了大多数功率,这是因为该模块包括存储器、有限状态机以及输入/输出(I/O)单元。为扩大应答器的 工作范围,使数字模块的功率消耗最小非常重要。标准单元库被经常用来综合应答器的数字模块。针对有些情况,制造商还开发了定制单元,以提供低功耗性能。
应答器中的存储器单元很重要。为实现标签的读/写,必须要有EEPROM和闪存等非易失性存储器。采特殊工艺的EEPROM或闪存的可用性,也将限制它们在读/写标签中的应用。如果需要EEPROM和闪存,就必须采用双层多晶硅工艺。
数字控制模块可以使用硬件方法或软件可编程方法(使用微程序或微控制器)来实现。硬件方法需要的电路面积最小,但牺牲了灵活性。可编程模型需要很大的电路 面积(采用微程序方法的电路面积大15倍,采用微控制器方法的电路面积大60倍),初始设计时间也相当长。因为重新配置工作可以转移到具有更高抽象能力的 软件工程上,所以设计更改非常方便。
本文小结
UHF RFID应答器的一个主要设计约束是功率估算,它必须为数字模块提供几十μW的功率。如果要增加工作距离,则必须增加功率。另一个设计约束条件是芯片尺寸,通常选择尺寸尽可能小的IC。在迄今为止涉及最简单的RFID发射应答器中,整流器和数字模块这两个部分的功耗最大。数字模块的不同性能参数使设计工程师可以在不同的设计约束之间进行折衷,包括架构、逻辑类型和综合过程中最优化的面积/功耗。
作者:Faisal Mohd-Yasin, Y.K. Teh、M.B.I. Reaz等
Email: faisal.yasin@mmu.edu.my,马来西亚多媒体大学

