- 易迪拓培训,专注于微波、射频、天线设计工程师的培养
基于复平面圆图的射频PA分配设计
O 引言
目前,射频前端技术已经成为系统芯片设计制造领域非常重要又很活跃的研究方向,射频放大器作为射频前端的关键技术,是值得深入研究的课题。在移动通信 (GSM和3G)、卫星全球定位(GPS)、无线局域网(WLAN)和射频识别(RFID)等领域,工作频率都已经达到GHz频段,需要采用射频前端技 术,射频放大器作为射频前端技术的核心,引起了广泛的关注。在射频接收系统中,在低噪声的前提下对信号进行放大是对射频前端的基本要求,需要考虑放大器的 噪声系数和增益,同时由于射频电路的波动性,放大器还需要考虑稳定性和驻波比,因此对射频放大器的设计也提出了更为严格的要求。本文基于复平面圆图提出了 一种小信号射频放大器的分配方案。射频放大器的输入输出驻波比、增益和噪声系数这几个指标相冲突,各项指标不能同时达到最优,给出了单项参数达到最优的条 件,提出了提高射频放大器综合性能的分配方案,并给出了仿真曲线和仿真结果分析。
1 射频放大器的主要参数
1.1 稳定性
由于反射波的存在,射频放大器在某些终端条件或工作频率有产生振荡的倾向,产生不稳定,不再发挥放大器的作用。可以用图解法或解析法判定放大器的稳定性, 图解法是观察稳定判别圆与史密斯圆图的相对位置,当放大器绝对稳定时,稳定判别圆包含史密斯圆图或稳定判别圆完全位于史密斯圆图外;解析法是计算稳定性因 子,绝对稳定要求稳定性因子k>1。
1.2 增益
放大器的转换功率增益为:
![]()
式中:
为输入匹配网络的有效增益;
为晶体管的增益;
为输出匹配网络的有效增益。恰当的匹配网络可以使放大器的增益大于晶体管的增益,GSmax和GLmax可以大于1。
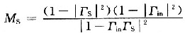
1.3 噪声系数
噪声系数由放大器输入端额定信噪比与输出端额定信噪比的比值来确定。对放大器来说,噪声的存在对整个设计有重要影响,在低噪声的前提下对信号进行放大是对放大器的基本要求。二端口放大器的噪声系数可以表示为:
![]()
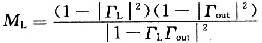
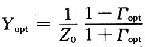
1.4 输入和输出驻波比
信源与晶体管之间及晶体管与负载之间的失配程度用输入和输出电压驻波比来描述,很多情况下放大器的驻波比必须保持在特定指标之下。放大器的输入和输出电压驻波比为:
![]()
2 射频放大器的分配方案
2.1 单项参数达到最优的条件
(1)增益达到最优与输入和输出匹配网络均有关。当输入匹配网络与输出匹配网络能保证晶体管的输入和输出端分别实现共扼匹配时
,这时晶体管既能从源获得最大输入功率,又能输出给负载最大功率,放大器可以实现最大增益。
(2)噪声系数达到最优仅与输入匹配网络有关。噪声系数可以表示为:
![]()
的关系为
。当源的反射系数
时,F=Fmin,噪声系数最小。
(3)驻波比达到最优与输入和输出匹配网络均有关。源失配因子
,用来衡量传送到晶体管输入端的功率Pin占信源资用功率PAVS的比例。 负载失配因子
,用来衡量传送到负载的功率PL占晶体管资用功率PAVS的比例。放大器输入和输出的反射系数与源和负载失配因子的关系为:
![]()
2.2 分配方案
基于复平面圆图图解的方法分析分配方案如下:
(1)在圆图上画出等增益曲线。在圆图上画出输入匹配网络的等增益曲线和输出匹配网络的等增益曲线,它们的曲线方程分别为:
![]()
式中:![]()
。小信号时所有输入等增益曲线为圆,增益值越大,圆半径越小,最大增益时等增益圆半径为零,缩为一个点。分配输入匹配网络的有效增益,然后在史密斯圆图上给出输入等增益曲线,在等增益曲线上选源反射系数,使输出与输入对偶。
(2)在圆图上画出等噪声曲线。等噪声曲线的方程为:
![]()
小信号时等噪声系数曲线为圆,所有等噪声系数圆的圆心都落在史密斯圆图原点与
连线上,噪声系数越大,圆的半径越大,噪声系数最小,在史密斯圆图上缩为一个点。在等噪声系数曲线内选源反射系数,并注意选点落在等增益曲线上。
(3)计算输入与输出驻波比,并计算稳定性因子。
(4)若输入与输出驻波比以及稳定性因子不满足指标要求,重复步骤(2)和(3),以满足指标要求。
(5)确定匹配网络。
3 仿真结果
3.1 晶体管参数
本文放大器的晶体管采用hp_AT-4151l,首先对晶体管的参数进行仿真,晶体管hp_AT-41511的S参数仿真曲线如图1所示,仿真曲线的频率 范围为100 MHz~5.1 GHz。图1给出了2.4 GHz时晶体管的参数。S11=0.470∠148°,表明输入端匹配很差;S12=-18.636dB,表明单向性较好;S21=7.373 dB,这是晶体管的增益,放大器的增益还需计入输入和输出匹配网络的等效增益;S22=0.420∠-51°,表明输出端匹配较差。在2.4 GHz,晶体管的噪声系数为2.145。

3.2 仿真结果
本文的仿真中放大器的中心频率选为2.43 GHz,带宽为10 MHz,系统的特性阻抗为50 Ω。采用单支节匹配网络,微带线基板的厚度为O.8 mm,基板的相对介电常数为4.3,基板的相对磁导率为1,基板的损耗角正切为O.001,微带线导体层的厚度为O.03 mm,导体的电导率为5.88×107,微带线表面粗糙度为0 mm。同时,添加输入和输出匹配网络,对放大器的参数进行仿真,本文给出了几组仿真曲线。

放大器输入反射系数dB(S11)-freq的曲线如图2(a)所示,放大器输出反射系数dB(S22)-freq的曲线见图2(b),图2中标记m1和 m4所在的曲线给出了放大器第一种状态;标记m2和m5所在的曲线给出了放大器第二种状态;标记m3和m6所在的曲线给出了放大器第三种状态。由图2可以看出,放大器的第一种状态输入和输出端匹配状态最好,第三种状态输入和输出端匹配状态最差。
放大器增益dB(S21)-freq曲线如图3所示,标记m7所在的增益曲线对应图2的第一种状态;标记m8所在的增益曲线对应图2的第二种状态;标记 m9所在的增益曲线对应图2的第三种状态。由图可以看出,放大器第一种状态的增益最大,第三种状态的增益最小,也即输入和输出端驻波比状态越好,增益越大。

放大器反向隔离dB(S12)-freq曲线如图4所示,标记m10所在的隔离曲线对应图2的第一种状态;标记m11所在的隔离曲线对应图2的第二种状态;标记m12所在的隔离曲线对应图2的第三种状态。由图可以看出,该放大器的隔离良好,输入和输出端的驻波比状态越差,隔离越好。
放大器噪声系数nf-freq曲线如图5所示,标记m13所在的噪声系数曲线对应图2的第一种状态;标记m14所在的噪声系数曲线对应图2的第二种状态;标记m15所在的噪声系数曲线对应图2的第三种状态。由图可以看出,噪声系数受到反射系数的影响,反射系数越小,噪声系数越大。
4 结语
本文基于复平面圆图提出了一种小信号时射频放大器的分配方案,分析了射频放大器的特性,给出了增益、驻波比和噪声系数单项参数达到最优的条件,提出了一种参数分配方法。仿真结果表明,输入和输出匹配网络可以带来等效增益,驻波比越小,增益越大,随驻波比的减小,噪声系数增大,在失配受限时,减小增益会降低噪声系数。本文提出的分配方案是非常实际的问题,并可为其他射频放大器设计提供参考。
如何成为一名优秀的射频工程师,敬请关注: 射频工程师养成培训
上一篇:运用RFID技术的学生考勤系统设计
下一篇:基于分层与综合法的EMC设计

