- 易迪拓培训,专注于微波、射频、天线设计工程师的培养
HFSS15在基片集成波导单脉冲馈电网络仿真中的应用
1、前言
Hirokawa和Ando于1998年首先提出了基片集成波导(Substrate Integrated Waveguide,SIW),即在介质基片中制作两排金属化通孔,与上下表面围成准封闭的导波结构。相对于传统的金属波导,SIW体积小、重量轻;同时,相对于微带线等传统电路,SIW损耗小、辐射低。吴柯教授以及其他的专家学者对SIW进行了数值分析、建模及特性分析,并实现了各类高性能的器件,例如滤波器、定向耦合器、移相器、天线单元及阵列等。然而在实际工程应用中,单一器件往往不能满足系统需求,各组件、部件乃至各子系统一般都要求尽可能使用同一种传输线,从而保证内部连接更为紧凑,使得损耗更小,性能稳定。由于基片集成波导的结构包含大量金属化圆孔,仿真软件在仿真的时候,往往导致计算机内存不够而运行终止,或者占用内存较大而降低仿真效率。
本文基于上述考虑,结合单脉冲网络的项目需求,运用HFSS软件,采用优化设计模型,设计了基片集成波导的单脉冲馈电网络。在考虑到各项误差后,测试结果和仿真结果基本吻合,从而证明优化模型在基片集成波导设计中的高效性,也证明HFSS在电路设计过程中的实用价值。
2、基于基片集成波导的单脉冲馈电网络
2.1、基片集成波导

图1、基片集成波导结构
基片集成波导(Substrate integrated waveguide,SIW)是一种新的微波传输线形式,其利用金属过孔或金属柱,在介质基片上实现波导的场传播模式,如图1所示。由于其传播模式和传统的金属波导相同,因此在电性能上,其等效为一段填充有介质的金属波导,等效宽度可由等效公式进行计算。

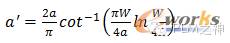
公式1 等效宽度的计算公式
其中a'为基片集成波导的宽度,W是金属化孔间距,R是金属化孔的半径,而a为填充介质的等效金属波导宽度。为提高仿真效率同时防止电磁波从金属化孔间泄露,一般取3R≤W≤4R。
2.2、单脉冲馈电网络

图2、单脉冲网络
在机载和弹载系统中,广泛采用平板式的单脉冲天线,如图2所示。这种单脉冲天线在物理上被划分成四个象限(1-4),每个象限射频信息(E1-E4)通过多层馈电网络合成后汇聚到单脉冲比较器(I-III),单脉冲比较器作为整个单脉冲天线的关键部件,把四个象限的射频信号合成为一个和波束(EΣ),两个正交差波束(EΔα、EΔβ)方向图。
3、单脉冲馈电网络的HFSS仿真
3.1、优化模型

图3、基片集成波导的网格划分
大型基片集成波导电路往往金属化孔的数量较多,这些金属化孔是弧面。在HFSS中,为了保证仿真的精度,弧面所需的网格数量往往远大于平面。图3是工作在X波段的基片集成波导传输线。基片宽度14mm,金属化孔的半径为0.25mm,默认的圆柱面的划分为0,网格数量为19953,从图中也可以明显看出金属化孔的区域自适应的加密程度远大于其它区域。
优化模型的关键在于调整圆柱面的划分数量,从而使得网格的数量下降到计算机内存可接受的程度,但是同时又要保证仿真的正确性。图4是对图3所示传输线进行仿真的结果,对于金属化孔,默认的圆弧面网格划分数量为16。从图4中可以看出随着划分数量从16降低到6,网格划分对应的数量从19953降低到5455,而回波损耗的误差约0.5dB左右,插入损耗误差小于0.02dB,相位的误差小于1度。当然,不同复杂程度的模型对应不同程度的误差量级,因此兼顾到效率和运算精度,最终取圆弧面的网格划分数量为10。

图4、圆弧面网格划分不同数量下的仿真结果。a)回波损耗;b)插入损耗;c)相位差异;d)网格数量
3.2、设计实例
工程实际需求的基片集成波导单脉冲馈电网络工作在Ku波段,它主要由四个3-dB电桥,四个90度移相器,以及四个1:8功率分配网络组成,如图5(a)所示。其中输入口为端口1-4,共四个,1口为EΣ,2口和3口分别为EΔα和EΔβ,而4口称为Q口,一般接匹配负载;输出口为端口5-36,共32个。图5(b)为整个系统在HFSS中的仿真模型,其中1-4口,SSMA水平输入,5-36口SMP垂直输出,基片集成波导主体电路通过基片集成波导/微带过渡到同轴端口。设计的印制板采用厚度为1.016mm的Rogers RT-6002,该介质板介电常数为2.94,由于参杂了陶瓷粉,因此质地较硬,同时相位的温度稳定性较好,特别适合高频使用。由于本设计要求工作在Ku波段,因此金属化孔的半径为0.2mm。采用IBM服务器X3650(2xE5620,64G内存)最终经过8次的迭代,如图5(c)所示。

图5、基片集成波导单脉冲网络的原理图(a),仿真模型(b),仿真收敛状态(c)以及实物图(d)
加工完成的实物图如图5(d)所示,整个馈电网络的尺寸为146.5mm╳140mm,由于印制板和结构件的公差配合,印制板的尺寸比结构件的腔体要稍微小一些,因此印制板和腔体壁之间有一定的间隙,间隙的存在影响了系统的匹配,因次通过增加额外的调配手段(Tuning Point),使得系统匹配。样件的测试基于40GHz网络分析仪,最终测试的结果,如图6。

图6、基片集成波导单脉冲网络的测试和仿真对比结果:总端口回波损耗(a),总端口间的隔离度(b),分端口幅度均方差(c)以及分端口相位均方差(d)
4、结论
介绍了基片集成波导以及单脉冲天线的基本工作原理,并根据工程需求,利用优化的金属化孔模型,在保证仿真精度的前提下,使得仿真的效率进一步提高;最终设计了Ku波段的电大尺寸馈电网络,在6%的带宽内总口回波损耗好于10dB,隔离大于25dB,32个输出端口的幅度均方误差小于0.5dB,相位误差小于6度。
作者:陈海东、侯文杰、车文荃、冯文杰
来源:ANSYS
如何成为一名优秀的射频工程师,敬请关注: 射频工程师养成培训
上一篇:HFSS在天线设计上的应用
下一篇:零经验的PCB板电镀仿真

