- 易迪拓培训,专注于微波、射频、天线设计工程师的培养
串扰和反射影响有多大?教你信号完整性分析
录入:edatop.com 点击:
信号完整性的定义
定义:信号完整性(Signal Integrity,简称SI)是指在信号线上的信号质量。 差的信号完整性不是由某一单一因素导致的,而是板级设计中多种因素共同 引起的。当电路中信号能以要求的时序、持续时间和电压幅度到达接收端时,该电路就有很好的信号完整性。当信号不能正常响应时,就出现了信号完整性问题。

1、波形完整性(Waveform integrity)
2、时序完整性(Timing integrity)
3、电源完整性(Power integrity)
信号完整性分析的目的就是用最小的成本,最快的时间使产品达到波形完 整性、时序完整性、电源完整性的要求。
我们知道:电源不稳定、电源的干扰、信号间的串扰、信号传输过程中的反射,这些都会让信号产生畸变,看下面这张图,你就会知道理想的信号,经过:反射、串扰、抖动,最后变成什么鬼。

如果你的示波器测试上这样的信号,你一定会问,为什么会这样,怎么去解决。
首先我们说一下反射:
反射——初始波
当驱动器发射一个信号进入传输线时,信号的幅值取决于电压、缓冲器的内阻和传输线的阻抗。驱动器端看到的初始电压决定于内阻和线阻抗的分压。

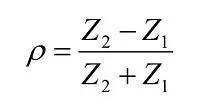
反射系数
其中-1≤ρ≤1
当ρ=0时无反射发生
当ρ=1(Z 2 =∞,开路)时发生全正反射
当ρ=-1(Z 2 =0,短路)时发生全负反射



初始电压,是源电压Vs(2V)经过Zs(25欧姆)和传输线阻抗(50欧姆)分压。
Vinitial=1.33V
如何成为一名优秀的射频工程师,敬请关注: 射频工程师养成培训
上一篇:经典模拟电路,值得珍藏
下一篇:开关电源经典问答集锦,太实用了

