- 易迪拓培训,专注于微波、射频、天线设计工程师的培养
用于IEEE 802.11b/g WLAN直接下变频接收机的射频前端设计
录入:edatop.com 点击:
0 引言
近年来,无线终端凭借低成本、低功耗和便于组网的优越性逐渐成为校园、机场、医院和家庭接人因特网的首选方案,无线接入技术得到迅速发展和广泛应用。无线收发模块的设计研究已成为一个重要研究方向。
本文介绍了一种应用于IEEE 802.11b/g无线局域网标准的2.4 GHz ISM单片CMOS接收机射频前端设计。IEEE 802.11b是目前市场上主流产品标准,而IEEE 802.11g则是IEEE 802.11系列的核心标准之一,它兼容另外两个核心标准IEEE 802.11a和IEEE802.11b,即同时支持IEEE 802.11a的OFDM(正交频分复用)和IEEE 802.11b的CCK(补码键控)编码的DSS(直接序列扩频)调制方式。本文中设计的接收机应用于DSS调制方式。
1 系统结构
考虑到低成本、低功耗和高集成度,针对IEEE802.11b/g本身宽信道带宽特性,本文采用直接下变频接收机结构。随着电路技术和工艺的进步,直接变频所固有的问题得到很大改善。尤其是直流偏移和1/f闪烁噪声问题,现在都能有效地降低它们的影响。
表1列出了近期设计的射频前端性能总结。
图1给出了接收机的系统结构,包括低噪声放大器、I/Q下变频器、去直流耦合电路、基带线性放大器和信道选择滤波器。
DSS标准包含11个2 MHz带宽的子信道,总的信道带宽为22 MHz。如果在保证误帧率在8×102情况下,要达到灵敏度为-80 dBm,那么,
kNF+RSNR=174 dBm-10log(22 MHz)-80 dBm=20.6 dBm
式中:KNF为噪声系数;RSNR为信噪比。
针对需要的FER,假设RSNR≈10 dB,再考虑到射频滤波器约2 dB损耗,接收机的要求低于8.6 dB。
标准还要求在接收信号-74 dBm时,具有40 dB的邻近信道抑制能力,鉴于此,接收机的输入1 dB压缩点要达到至少-30 dBm左右。
2 电路实现
2.1低噪声放大器
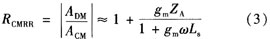
图2给出了低噪声放大器电路具体实现。电路采用典型的差分Cascode结构,增加对片上干扰抑制,减少源极寄生电感影响,另外,还能提高CMRR(共模抑制比)。不过,相对于单端输入单端输出,差分结构带来更大的功耗。
下面只分析放大器对称的左半部分,它是一个窄带Cascode结构低噪声放大器,这种结构能得到更好的噪声性能。Ls和Ld采用片上电感,Lc、Lg由键合电感实现。M1、M3是跨导晶体管,共栅连接的M2、M4提高输出输入之间的隔离,并减少M1、M3漏极电容Cgd的密勒效应。电容Cd、Cout和Ld调节输出匹配并起到与次级电路隔直的作用。
当然,除此之外,在优化电路时还应该考虑到电容Cs的影响,但式(1)、式(2)给出了各元件对电路性能的影响趋势,这点在设计电路时具有指导意义。
仔细选择器件参数,得到0.84 dB的噪声系数。从图3的仿真结果可看出,电路优化结果使kNF非常接近kNFmin。
用电感Le代替传统的尾电流源提高差分电路的共模抑制比,这样可以节省直流电压裕度。
下式给出了CMRR(记为RCMRR)的参考公式:
式中:ZA为差分对管虚地点对地的阻抗。
电感采用键合电感,因为它有高Q值和节省芯片面积的优势。
仔细地在功耗与性能之间获取均衡,实现的低噪放噪声系数为0.84 dB,增益为16 dB,S11<-15 dB,直流电压1.8 V时电流为7.6 mA。
2.2 I/Q下变频器
图4给出了I/Q正交下变频器的一路混频器。混频器的设计需要仔细选择每一个参数来平衡增益、线性度与噪声之间的矛盾。由于处于接收机射频信号最强处,往往混频器对线性度的要求很高。本文采用Gilbert单元有源双平衡混频器,具有较高的各端口之间的隔离度。跨导级晶体管源极直接接地,以提高混频器的线性度。电路中还采用电流注入技术,以降低混频器开关管的低频噪声,同时可以增大跨导级电流,改善线性度。
Gilbert单元的IIP3可以表示为:
式中:I和K分别是跨导电路的偏置电流和跨导参数。
当本振信号是正弦波时,与开关对管有关的噪声为:
式中:A为本振信号的幅度;ISW为开关对管的偏置电流。
分析式(4)和式(5),需要增大跨导差分对管的偏置电流来提高混频器的线性度,同时又必须减小开关对管的偏置电流来降低开关噪声,因此,需要采用电流注入技术来解决二者之间的矛盾。
2.3 交流耦合
直流偏移的解决是直接下变频结构的难点之一。这里可以采用一个去直流的高通滤波器,该滤波器具有很低的拐角频率。
图5描述了文献[2]的研究结果关于高通滤波器的拐角频率对传输数据恢复的影响。
研究结果表明,当高通滤波器的fC为传输数据速率的0.1%时,数据能够被正确地传输和恢复。针对IEEE 802.11接收机fC设计应该达到10 kHz。
图6是交流耦合高通滤波器的具体实现电路。采用线性区MOS器件提供兆欧级电阻,可以节省电阻面积。
设计偏置电路,使M1工作在饱和区,M2工作在线性区,那么,
如果L2=L1,W1=W2,则Ron2=g-1m1。降低gm1,就可以得到很大的Ron2。
电路设计时需要注意2个问题:一是M1和M2开启电压的失配,因此需要将晶体管过驱动电压设计大于200 mV抑制失配的影响;二是由于输入信号电平导致M2的Ron2变化,幸运的是,鉴于信号波形特性,信道内的失真容限很高,而耦合电容在邻信道频率呈现较低阻抗,信道外失真较大。
2.4 基带线性放大器
图7是基带线性放大器和差分高通滤波器的完整电路。
与图6不同的是,M2、M3共用一个M1晶体管做偏置。基带放大器采用单管直接带负载电阻输出,以提高电路的线性度,改善系统整体性能。
2.5 信道选择滤波器
图8是简单的信道选择滤波器电路。其中运算放大器连接成单位增益,可以用源极跟随器实现,但为了降低引入闪烁噪声,源极跟随器应该使用大尺寸的晶体管。
信道选择滤波器的传输函数计算公式为:
2.6 l/f闪烁噪声
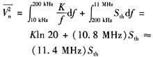
在直接下变频结构中,l/f闪烁噪声是不可避免的,需要设计者仔细考虑。然而对于IEEE 802.11b/g协议的22 MHz信道带宽(基带信号占用11 MHz以内的频带),具有几百kHz拐角频率闪烁噪声的影响可以降到忽略不计的程度。证明如下。
如果fcorner=200 kHz,有Sl/f(200 kHz)=Sth,这里Sl/f和Sth分别表示l/f噪声和热噪声的功率谱密度。假设Sl/f=K/f,其中K=(200 kHz)×Sth。下面计算从10 kHz到11 MHz总的噪声:
如果电路没有闪烁噪声,总的噪声功率为:V2n=(11 MHz)Sth,仅仅低了0.2 dB。根据文献[2]分析,即使考虑到100 Hz的闪烁噪声,信噪比最大的退化也低于0.6 dB。因此,这里低频闪烁噪声并不足以影响系统整体性能指标。
3 版图和设计结果
接收机射频前端使用TSMC 0.18μm CMOS工艺实现,版图面积为1 280μm×1 200μm。图9给出了整个系统的版图照片。
图10是系统低频基带部分的传输函数,-3 dB带宽为9 kHz~11 MHz。
接收机前端性能总结如下:输入频率为2.4 GHz,噪声系数为3.5 dB,电压增益为31 dB,S11为小于-15 dB,IIP3为-8 dBm,IP2为大于+30 dB,输入ldB功率为-25 dB,采用工艺为CMOS 0.18μm,功耗为32 mW。可以看出,在兼顾低功耗和线性度同时,获得了非常好的增益和噪声性能。
近年来,无线终端凭借低成本、低功耗和便于组网的优越性逐渐成为校园、机场、医院和家庭接人因特网的首选方案,无线接入技术得到迅速发展和广泛应用。无线收发模块的设计研究已成为一个重要研究方向。
本文介绍了一种应用于IEEE 802.11b/g无线局域网标准的2.4 GHz ISM单片CMOS接收机射频前端设计。IEEE 802.11b是目前市场上主流产品标准,而IEEE 802.11g则是IEEE 802.11系列的核心标准之一,它兼容另外两个核心标准IEEE 802.11a和IEEE802.11b,即同时支持IEEE 802.11a的OFDM(正交频分复用)和IEEE 802.11b的CCK(补码键控)编码的DSS(直接序列扩频)调制方式。本文中设计的接收机应用于DSS调制方式。
1 系统结构
考虑到低成本、低功耗和高集成度,针对IEEE802.11b/g本身宽信道带宽特性,本文采用直接下变频接收机结构。随着电路技术和工艺的进步,直接变频所固有的问题得到很大改善。尤其是直流偏移和1/f闪烁噪声问题,现在都能有效地降低它们的影响。
表1列出了近期设计的射频前端性能总结。

图1给出了接收机的系统结构,包括低噪声放大器、I/Q下变频器、去直流耦合电路、基带线性放大器和信道选择滤波器。

DSS标准包含11个2 MHz带宽的子信道,总的信道带宽为22 MHz。如果在保证误帧率在8×102情况下,要达到灵敏度为-80 dBm,那么,
kNF+RSNR=174 dBm-10log(22 MHz)-80 dBm=20.6 dBm
式中:KNF为噪声系数;RSNR为信噪比。
针对需要的FER,假设RSNR≈10 dB,再考虑到射频滤波器约2 dB损耗,接收机的要求低于8.6 dB。
标准还要求在接收信号-74 dBm时,具有40 dB的邻近信道抑制能力,鉴于此,接收机的输入1 dB压缩点要达到至少-30 dBm左右。
2 电路实现
2.1低噪声放大器
图2给出了低噪声放大器电路具体实现。电路采用典型的差分Cascode结构,增加对片上干扰抑制,减少源极寄生电感影响,另外,还能提高CMRR(共模抑制比)。不过,相对于单端输入单端输出,差分结构带来更大的功耗。

下面只分析放大器对称的左半部分,它是一个窄带Cascode结构低噪声放大器,这种结构能得到更好的噪声性能。Ls和Ld采用片上电感,Lc、Lg由键合电感实现。M1、M3是跨导晶体管,共栅连接的M2、M4提高输出输入之间的隔离,并减少M1、M3漏极电容Cgd的密勒效应。电容Cd、Cout和Ld调节输出匹配并起到与次级电路隔直的作用。

当然,除此之外,在优化电路时还应该考虑到电容Cs的影响,但式(1)、式(2)给出了各元件对电路性能的影响趋势,这点在设计电路时具有指导意义。
仔细选择器件参数,得到0.84 dB的噪声系数。从图3的仿真结果可看出,电路优化结果使kNF非常接近kNFmin。
用电感Le代替传统的尾电流源提高差分电路的共模抑制比,这样可以节省直流电压裕度。
下式给出了CMRR(记为RCMRR)的参考公式:
![]()
式中:ZA为差分对管虚地点对地的阻抗。
电感采用键合电感,因为它有高Q值和节省芯片面积的优势。
仔细地在功耗与性能之间获取均衡,实现的低噪放噪声系数为0.84 dB,增益为16 dB,S11<-15 dB,直流电压1.8 V时电流为7.6 mA。

2.2 I/Q下变频器
图4给出了I/Q正交下变频器的一路混频器。混频器的设计需要仔细选择每一个参数来平衡增益、线性度与噪声之间的矛盾。由于处于接收机射频信号最强处,往往混频器对线性度的要求很高。本文采用Gilbert单元有源双平衡混频器,具有较高的各端口之间的隔离度。跨导级晶体管源极直接接地,以提高混频器的线性度。电路中还采用电流注入技术,以降低混频器开关管的低频噪声,同时可以增大跨导级电流,改善线性度。

Gilbert单元的IIP3可以表示为:
![]()
式中:I和K分别是跨导电路的偏置电流和跨导参数。
当本振信号是正弦波时,与开关对管有关的噪声为:
![]()
式中:A为本振信号的幅度;ISW为开关对管的偏置电流。
分析式(4)和式(5),需要增大跨导差分对管的偏置电流来提高混频器的线性度,同时又必须减小开关对管的偏置电流来降低开关噪声,因此,需要采用电流注入技术来解决二者之间的矛盾。
2.3 交流耦合
直流偏移的解决是直接下变频结构的难点之一。这里可以采用一个去直流的高通滤波器,该滤波器具有很低的拐角频率。
图5描述了文献[2]的研究结果关于高通滤波器的拐角频率对传输数据恢复的影响。

研究结果表明,当高通滤波器的fC为传输数据速率的0.1%时,数据能够被正确地传输和恢复。针对IEEE 802.11接收机fC设计应该达到10 kHz。
图6是交流耦合高通滤波器的具体实现电路。采用线性区MOS器件提供兆欧级电阻,可以节省电阻面积。
设计偏置电路,使M1工作在饱和区,M2工作在线性区,那么,
![]()

如果L2=L1,W1=W2,则Ron2=g-1m1。降低gm1,就可以得到很大的Ron2。
电路设计时需要注意2个问题:一是M1和M2开启电压的失配,因此需要将晶体管过驱动电压设计大于200 mV抑制失配的影响;二是由于输入信号电平导致M2的Ron2变化,幸运的是,鉴于信号波形特性,信道内的失真容限很高,而耦合电容在邻信道频率呈现较低阻抗,信道外失真较大。
2.4 基带线性放大器
图7是基带线性放大器和差分高通滤波器的完整电路。

与图6不同的是,M2、M3共用一个M1晶体管做偏置。基带放大器采用单管直接带负载电阻输出,以提高电路的线性度,改善系统整体性能。
2.5 信道选择滤波器
图8是简单的信道选择滤波器电路。其中运算放大器连接成单位增益,可以用源极跟随器实现,但为了降低引入闪烁噪声,源极跟随器应该使用大尺寸的晶体管。

信道选择滤波器的传输函数计算公式为:

2.6 l/f闪烁噪声
在直接下变频结构中,l/f闪烁噪声是不可避免的,需要设计者仔细考虑。然而对于IEEE 802.11b/g协议的22 MHz信道带宽(基带信号占用11 MHz以内的频带),具有几百kHz拐角频率闪烁噪声的影响可以降到忽略不计的程度。证明如下。
如果fcorner=200 kHz,有Sl/f(200 kHz)=Sth,这里Sl/f和Sth分别表示l/f噪声和热噪声的功率谱密度。假设Sl/f=K/f,其中K=(200 kHz)×Sth。下面计算从10 kHz到11 MHz总的噪声:

如果电路没有闪烁噪声,总的噪声功率为:V2n=(11 MHz)Sth,仅仅低了0.2 dB。根据文献[2]分析,即使考虑到100 Hz的闪烁噪声,信噪比最大的退化也低于0.6 dB。因此,这里低频闪烁噪声并不足以影响系统整体性能指标。
3 版图和设计结果
接收机射频前端使用TSMC 0.18μm CMOS工艺实现,版图面积为1 280μm×1 200μm。图9给出了整个系统的版图照片。

图10是系统低频基带部分的传输函数,-3 dB带宽为9 kHz~11 MHz。

接收机前端性能总结如下:输入频率为2.4 GHz,噪声系数为3.5 dB,电压增益为31 dB,S11为小于-15 dB,IIP3为-8 dBm,IP2为大于+30 dB,输入ldB功率为-25 dB,采用工艺为CMOS 0.18μm,功耗为32 mW。可以看出,在兼顾低功耗和线性度同时,获得了非常好的增益和噪声性能。

