- 易迪拓培训,专注于微波、射频、天线设计工程师的培养
谐振电路的基本特性
录入:edatop.com 点击:
选频电路:选出有用信号,抑制其他无用信号、干扰与噪声,提高系统的信号质量和抗干扰能力。
谐振放大器:负载为谐振回路。
谐振放大器包括:小信号调谐放大器
谐振功率放大器
1.1谐振电路的基本特性
作用:选频、滤波、作负载、移相网络、相频转换网络
1.1.1简单串并联谐振电路的基本特性
谐振放大器:负载为谐振回路。
谐振放大器包括:小信号调谐放大器
谐振功率放大器
1.1谐振电路的基本特性
作用:选频、滤波、作负载、移相网络、相频转换网络
1.1.1简单串并联谐振电路的基本特性
<!--[if !supportLists]-->
1.串联谐振电路的基本特性


r代表电感L的损耗电阻。
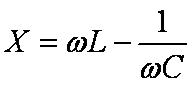
阻抗 
电抗 



电容C上的电压:


电容上的电压同样为信号源电压的
倍,仅相位与电感上的电压相反,因此串联谐振称为电压谐振。

2.并联谐振回路的基本特性







电容C上的电压:



2.并联谐振回路的基本特性





并联振荡回路的阻抗只在谐振时才是纯电阻,并达到最大值。失诣时,并联振荡回路的等效阻抗Z包括电阻和电抗。
回路等效阻抗中的电抗是容性
回路等效阻抗中的电抗是感性
这是由于,并联回路的合成总阻抗的性质总是由两个支路个阻抗较小的那个支路的阻抗性质决定的。

流过电感线圈的电流


这是由于,并联回路的合成总阻抗的性质总是由两个支路个阻抗较小的那个支路的阻抗性质决定的。

流过电感线圈的电流


并联谐振—电流谐振
归一化

串联谐振回路与并联谐振回路具有相同的归一化表达式。

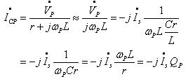
3. 信号源内阻与负载电阻对谐振回路品质因数的影响


串联谐振回路与并联谐振回路具有相同的归一化表达式。

结论:
归一化后,
的值在
(谐振点)时取最大值1。
归一化后,
回路的品质因数愈高,曲线愈尖锐,对外加电压的选频作用愈显著,回路的选择性就愈好。
<!--[if !vml]--><!--[endif]-->回路Q的大小可说明回路选择性的好坏。
3. 信号源内阻与负载电阻对谐振回路品质因数的影响

并联型谐振回路有载品质因数 串联型谐振回路有载品质因数

4.品质因数的物理意义
品质因数实际上描绘的是系统储能与耗能之间的关系。
特性阻抗



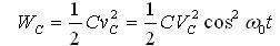
电容上的瞬时电压:

电容中储能(谐振时)

电感中储能(谐振时)
谐振时,电容上的储能和电感中的储能的最大值相等,仅在相位上相差
。

任何时刻,总的储能为常数。
电阻上消耗的功率:

一个周期中的耗能:


4.品质因数的物理意义
品质因数实际上描绘的是系统储能与耗能之间的关系。
特性阻抗


电容上的瞬时电压:
电容中储能(谐振时)
电感中储能(谐振时)

任何时刻,总的储能为常数。
电阻上消耗的功率:
一个周期中的耗能:

谐振回路的品质因数是系统中的总储能与一个周期中的耗能之比乘以
。
5.串并联谐振回路的通频带与选择性

三分贝通频带(半功率点通频带) :即
下降到0.707
或 时的通频带。




1.1.2 串并联阻抗等效互换和回路抽头时阻抗变比折合关系
1 串并联阻抗等效互换



结论:串联电路转换成等效并联电路后,电抗X2的性质与X1相同,在QL较高的情况下,其电抗X基本不变,而并联电路的电阻R2比串联电路的电阻R1大
倍。
串联形式电路中的电阻愈大,则损耗愈大;并联形式电路中的电阻愈小,则分流愈大,损耗也愈大,反之亦然,所以二种电路是完全等效的。









5.串并联谐振回路的通频带与选择性





1.1.2 串并联阻抗等效互换和回路抽头时阻抗变比折合关系
1 串并联阻抗等效互换



结论:串联电路转换成等效并联电路后,电抗X2的性质与X1相同,在QL较高的情况下,其电抗X基本不变,而并联电路的电阻R2比串联电路的电阻R1大
串联形式电路中的电阻愈大,则损耗愈大;并联形式电路中的电阻愈小,则分流愈大,损耗也愈大,反之亦然,所以二种电路是完全等效的。









3)电流源、电压源的变比折合






相关链接:
射频模拟电路系列讲座连载
射频模拟电路系列讲座连载

