- 易迪拓培训,专注于微波、射频、天线设计工程师的培养
设计和制作用于功率测量的示波器探头

之前我们介绍了无源探头的带宽限制以及为什么它们不能用于当今的开关电源设计。高频探头价格昂贵,很多小公司通常无力购买。我们还研究了50Ω、1:1无源探头的基本结构,并讨论了可能导致信号失真的传输线效应以及如何补偿这些误差。本文将介绍一个n:1电压探头和一个电流探头的设计和建构。
50Ω、n:1电压探头
只要到达示波器的信号不超过输入放大器可处理的范围,基本的1:1无源探头就非常有用。虽然许多商用无源探头可以1:1和10:1双模式工作,但有时10:1的衰减也还不够。例如,将交流电源电压连接到10:1探头就会损坏示波器,所以常常需要1000:1的探头。对其它应用,则可能需要不同的衰减比。
要求:为> 1GHz的示波器打造一款50Ω探头,以测量110 VAC到220 VAC、300W功率因数校正电路的功率信号。
最大电压:+400VDC加上任何尖峰电压。
被测器件:
● D3超结MOSFET,部件号:D3S340N65B-U(VDSS=650V, ID =12A, RDS(on)=360mΩ(标称), tf >6.5ns)
● CREE SiC肖特基整流器,部件号:C3D04060A(600V, 7.5A)
步骤:
切下一段长约5英寸(12.5cm)的RG174(50Ω)电缆。最好是一端已有BNC连接器;
从电缆上剥去0.5英寸(12mm)的绝缘护层。切开绝缘护层的屏蔽层。剥去0.25英寸(6mm)的中心导体绝缘层;
从直径0.5英寸的黄铜管切下0.5英寸(12mm),去掉切口毛刺;
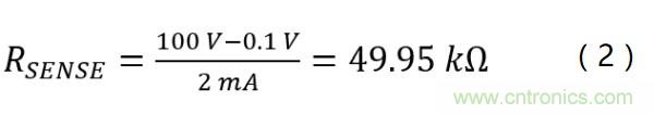
探头将承受的最大电压为400 VDC。查看电容的VMAX额定值。要求的显示电压为100mV/格(1000:1),即50Ω示波器终端电阻上的电压为100mV。通过尖端检测电阻的电流(IS)为:

检测电阻的值是:

5.检查检测电阻的功耗:

注意:该功耗在单个¼W电阻的额定功率范围内,但电阻会变热。我将两个100kΩ、¼W电阻并联使用。
6.如图1所示组装电缆的检测端。

图1:1000:1、 50Ω电压探头使用两个100kΩ电阻并联,比使用单个50kΩ电阻的功率耗散能力增加了一倍。
高频电流探头
市面上常见的电流探头带宽从60MHz到120MHz不等。查看高频电流波形对估算高频半导体开关内的开关损耗很重要。因此,你可能需要带宽更高的电流探头。图2是一个电流探头的示例。

图2:高频电流探头使用螺旋线圈来捕获导线中电流产生的磁场。
图2中的电流探头本质上是个具有较高漏电流的¼匝初级、1:n正向模式互感器。由于初级不是理想的单匝,其准确性将在最终的校准中确定。次级线圈均匀地排布在螺旋线圈磁芯周围。
终端电阻必须紧靠绕线螺旋线圈放置。这样做可以使同轴电缆的传输线效应最小,避免成为示波器输入信号的有效部分。终端电阻可防止大信号电流进入电缆。示波器终端应设为1MΩ。
电流是通过电路支路测量的,阻抗应非常低。电流探头的反射阻抗(插入阻抗)应尽可能低(低Rt),且仍能为示波器输入提供所需的幅度。
次级绕组上感应的电流是:

要将此电流转换为示波器上显示的电压,必须在次级绕组上放置一个电阻,该电阻可以是任何值,但电阻值越高,初级目标电路的反电动势就越大。反电动势表现为与目标电流路径串联的额外压降,它会影响初级电流,从而影响其测量精度。初级电流测量误差与次级电阻值成正比。
通常由电流探头观测到的AC电流范围可从100A(1kW电源)低至mA(栅极驱动电路)水平。一个电流探头无法满足上述范围要求且仍处在示波器输入的输入动态范围内,因此需要使用多个电流探头,它们针对高频开关电源内的不同电流水平具有不同的匝数比。匝数比不是固定不变的,常见的比率是:
● 25:1 (10A – 20A)
● 50:1 (1A – 10A)
● 100:1 (0.5A – 1A)
由于次级电流很小,只需#32 AWG线规即可。
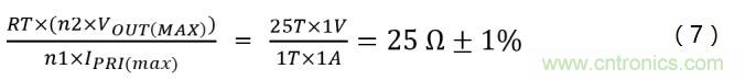
终端电阻可通过下式估算:

图2所示的电流探头使用SMD电阻,这就是为什么需要一个小PCB来安装它并固定到同轴电缆的末端。务必保形涂覆整个电流互感器组件;绕组非常脆弱,同轴电缆会给电流探头带来很大的机械应力。
校准问题
与每个交流耦合电路一样,交流电流信号传递到次级,但输出的直流部分自动校正为零。 直流“零”平均值出现在平均正值等于平均负值的输出波形的某一点。短期平均零点将在每个信号周期内变化。图3显示了这一依赖时间的现象。每个电流探头都有自己的时间常数。这可以通过在初级注入低频脉冲电流来测量和表征。

图3:通过注入输入电流脉冲来校正电流探头,以确定探头的时间常数。
时间常数会导致电流波形失真(图4)。

图4:由互感器时间常数引起的电流显示误差。
时间常数约为:

结果是近似值,因为次级并非独立的互感器,而是耦合了来自初级的负载。
用数字示波器校准电流探头时,必须记住采样率。将低频矩形电流信号注入CT的初级电路时,示波器的采样不会总与峰值输出电压点重合。这就需要注入多个输入电流脉冲,并找到最高值的输出电压峰值。
你可能会问:“电流探头提供的什么数据我可以相信?”可用的数据是(最值得信赖的测量,失真引起的误差非常小):
1.所有高速转换幅值;
2.周期比电流探头的时间常数小得多的信号波形;
3.转换之间的周期(时间)测量;
4. 比探头时间常数(tr<˜0.05?C)短得多的上升和下降时间。
具有可与时间常数相比的周期的波形将因时间常数失真。时间常数被加到实际信号中。图5为信号周期大于时间常数的1/2造成这种失真的一个例子。

图5:电流探头会因为时间常数使输入信号失真。上部(绿色)迹线为干净的VDS,下部(红色)迹线为失真的ID。
图5显示了一个110kHz离线LLC转换器低侧MOSFET的VDS和ID。来自50Ω电压探头的电压波形(顶部)未失真,底部的漏极电流波形则显示出很大失真。电流探头有25匝,终端电阻为50Ω,时间常数为14µs。
图6显示了如果在目标电路同一位置的电流检测电阻上查看,实际信号是如何按预期出现的。尽管内心里想以任何精度从显示信号中减去时间常数,但这在数学上不切实际。因此,关于显示可信度的陈述与电流转换相去甚远。当然,也可以花大价钱买一个磁性“DC”电流探头帮你做上述数学计算,但是带宽太低。

图6:信号周期由差不多相等的分量组成时的电流探测信号。
10A高频电流探头
本示例概述了适用于>10kHz开关电源的1A至10A电流探头的设计步骤。
第一个任务是决定使用什么磁芯材料。无需细究磁学的长篇大论,你所需的是低磁导率(μ)高频材料。磁导率是绕组内的电流量,可在磁芯内产生给定的磁通密度(磁通线数量)变化。在高磁通密度下,磁芯开始饱和(磁导率下降并且不再是线性的)。这是你需要避免的情况。
然后需要一个闭合磁环路来引导磁芯内的导线辐射磁场(与电流成比例)。可以用螺旋线圈或带间隙的U-I铁氧体磁芯。铁氧体磁芯有一些不好的影响因素,如边缘场效应、因转角引起的涡流等。理想的磁芯是钼坡莫合金螺旋线圈,是钼(一种非磁间隙材料)和铁氧体的混合物。钼含量越高,磁导率越低。较低的磁导率还可以得到更大的带宽。对于合理的线径,如在中低功率开关电源中所见,Magnetics公司的13.5mm(0.5in)环形磁芯(部件号55051A2)是不错选择。更大尺寸的磁芯可在直径更大的导线中使用。
常见的匝数有25、50、100,当然,其它不同的匝数也是可用的。匝数越多,绕组两端串联电阻上的电压越高。下面是制作过程。
对我的漏极电流,我选择了25匝。流入漏极的电流范围是0.5A到10A,因此这是合理的选择。我还想要1V/A输出。终端电阻应该是:

线规应是#32 AWG绝缘电磁线。
2. 电线缠绕螺旋线圈均匀围绕着磁芯,这有助于将次级导线产生的磁通量包含在磁芯内;
3. 在小的PCB或perf board上,将导线末端连到终端电阻。由于同轴电缆会给线圈/PCB组件带来很大机械应力(图2),因此PCB也用于将同轴电缆固定在PCB和终端电阻上;
4. 用1A的脉冲电流来测试探头,确认峰值瞬态电压为1V(图3)。如果不是,则尝试用接近25Ω的电阻来产生1V瞬态峰值;
5. 保形地涂覆整个螺旋线圈/PCB组件。环氧树脂效果很好。确保螺旋线圈中心有一个干净但有涂层的孔;
6. 执行上述步骤4来校准电流探头并测量电流探头的时间常数(图4)。
上述步骤也适用于具有不同电流范围的电流探头。
结论
市场上买得到的电压和电流探头大都没有足够的带宽来查看高频功率器件呈现的高频电流波形和边缘。那么,为了查看“真实”信号,你需要构建自己的电压和电流探头。这两部分提出的探头构建是探头设计的一个良好起点。
附录A
使用下面的公式来计算已知磁芯和匝数的电感值。该计算针对初级电感(1个绕组和1个磁芯),没有从磁芯其它绕组反射任何负载,例如在一个互感器内(> 1个绕组和1个磁芯)。

其中:
L是电感(单位为H);
N是匝数;
AL是电感系数,单位为nH/T²(由磁芯制造商提供)。
推荐阅读:
将传感器设计运用到电池供电的无线物联网(IoT)设备中
在物联网SoC中整合蓝牙IP技术的应用
6年前的一款U盘大小DNA测序仪终于有了新用途
浅谈晶振负载电容的计算方法以及需要注意的地方
详解ADI的MEMS开关技术

