- 易迪拓培训,专注于微波、射频、天线设计工程师的培养
技术分享:单频圆形微带贴片天线设计
微带天线是在一块背面敷以金属薄层作接地板的介质基片上,贴一金属辐射片而形成的天线。它有微带线和同轴线这两种主要的馈电方式。微带天线在金属贴片与金属接地板之间激发辐射场,通过贴片四周与接地板之间的缝隙向外辐射,因此也称作缝隙天线。频带窄、功率容量小、损耗大和基片对性能影响较大等是微带天线的缺点,其优点是体积小,质量轻,低剖面,制造简单,成本低,易集成,容易实现双频、多频段工作等,也正是这些优点,使得工作在100 MHz~50 GHz频率范围内的微带天线常用于卫星通信、指挥和控制系统、导弹遥测、武器引信、环境检测等。
无线电引信在军事上可用于控制武器弹丸的引炸,来达到最大的杀伤效果。而天线属于引信察觉装置的一部分,用于发射和接收信号。所以,天线的性能对引信的工作状态以及武器弹丸的杀伤力有非常大的影响。由于天线要附着在弹头上,而一般的弹体头部大都是圆锥形,为了便于将微带天线安装在弹头部位,本文将设计一个中心频率为7.2 GHz的圆形微带贴片天线,其相对介电常数为εr = 4.4,损耗正切tan δ = 0.164 6。
1 圆形微带天线设计
1.1 介质设计
在天线设计中,介质基片的材料及厚度,对天线的性能有很大影响,所以首先需要考虑介质的材料及其厚度。而材料选择主要考虑的电特性参数是其相对介电常数εr和损耗角正切tan δ。介电常数的稳定性非常重要,变化的介电常数将导致贴片频率漂移。介电常数大能减小贴片尺寸,但通常也会减小贴片单元带宽;介电常数小又会增加贴片周围的边缘场,降低辐射效率。大损耗基片常常会降低天线效率,增加反馈损耗,所以在选择介质材料时,需要综合考虑。本设计综合考虑后,确定以FR4环氧树脂板为介质材料,其相对介电常数为εr = 4.4,损耗正切tan δ = 0.164 6,这也是微带天线设计中常用的一种材料。
对基片的厚度而言,厚介质基片,可提高天线机械强度、增加辐射功率、减小导体损耗,展宽频带;但同时也会增加介质损耗,引起表面波的明显激励。对于一个最大工作频率fm,根据微带电路理论,厚度应该满足:

式中:c为光速;fm 为最大工作频率,εr 为相对介电常数。通常在h/fm< 0.1 即可保证不会引起表面波的明显激励。
本设计以FR4板为介质基片,根据设计要求,考虑到扩宽频带,和减小天线的体积要求,再结合式(1),给出介质厚度的初始值为2 mm。
1.2 辐射贴片设计
对于已知的介质基片,在给定的工作频率fr=7.20 GHz时,圆形微带天线的贴片半径为:

1.3 天线的馈电及输入阻抗
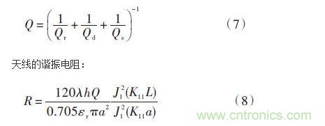
本设计采用同轴馈电的方式,是通过在辐射贴片上的馈电点位置不同来改变输入阻抗,使天线获得阻抗匹配。一般的微波器件通用的是50 Ω系统,所以需要通过改变馈电点的位置来使天线达到50 Ω的输入阻抗。计算天线的输入阻抗,需要从介质损耗、辐射损耗、导体损耗、表面波损耗几个方面考虑,不能单方面考虑某一因素,否则会引起很大的误差。Qr,Qc,Qd,Qs分别是辐射损耗、导体损耗、介质损耗和表面波损耗所引起的相应Q 值。
天线工作在主模,即TM11 时:

由于设计中采用理想导体馈电,故Qc = 0。所以:

式中:J1 是一阶第一类贝塞耳函数。令R = 50 Ω ,代入式(8),就可以估算出馈电点的位置L,即在离圆形贴片中心L 处馈电,即是天线达到50 Ω 的输入阻抗。
同轴线内芯半径暂时设为0.6 mm,同时在接地板上挖出一个圆孔作为信号输入端口,将内芯包围起来构成同轴线,半径约为1.5 mm,端口的阻抗为50 Ω。
通过上面分析,得出天线参数的初始值:圆形辐射贴片半径:a = 5.39 mm;介质基片厚度:h = 2.00 mm;介质基片半径2*a;馈电点位置:L = 1.96 mm;内芯半径:n = 0.6 mm;外芯半径:m = 1.5 mm。
2 运用HFSS 软件进行天线仿真
基于ANSOFT 公司HFSS 三维仿真软件,对天线进行建模分析。仿真流程见图1。

图1 仿真流程图
根据初始尺寸及HFSS天线设计要求,创建天线初始模型如图2所示。

图2 天线结构图
通过HFSS对初始值的仿真可知,当前的初始值并没有完全使天线达到7.2 GHz,且此时天线的各项性能指标也达不到要求。那么,需要用到HFSS的扫频分析和优化设计功能来优化天线的各项参数,使引信天线的性能达到最佳。
[page]2.1 天线的优化设计
(1)通过HSFF 软件在谐振频率附近做扫频分析,对圆形贴片的半径进行修正。可以得到7.2 GHz 时对应的贴片半径a 的最佳值为5.216 mm。
(2)分析介质基片厚度对天线性能的影响。借助于HFSS,得到对于不同的介质基片厚度对天线回波损耗的影响。根据回波损耗随介质基片厚度的变化图和不同介质基片厚度对S11, Smith 圆图的影响,可以分析出介质基片厚度的最佳值h = 2.021 mm。
(3)分析馈电点位置对天线性能的影响。这部分主要是分析不同的馈电位置与回波损耗及输入阻抗之间的关系。并通过对馈电点位置L 的扫描,选择出最符合条件的馈电点L = 1.863 mm。
(4)用HFSS 软件设计好天线的标准,然后对天线的各个参量进行系统自动优化,计算出符合条件的各参数的最佳值。得到的结果如下:
圆形辐射贴片半径:a=5.216 mm;介质基片厚度:h=2.021 mm;介质基片半径2*a;馈电点位置:L=1.863 mm;内芯半径:n=0.516 mm;外芯半径:m=1.854 mm。
2.2 结果分析
由HFSS软件给出在优化尺寸下的S11,Simth圆图、增益的方向图,如图3~图5所示。

图5
从图3 结果可以看出,设计天线的谐振频率是7.2 GHz,且此时的回波损耗为-33.037 9 dB,达到了天线的设计要求。
图4显示,在频率为7.2 GHz时,天线的归一化阻抗为(0.977 5 + 0.037 9i)Ω ,这个结果显示出此时天线达到了很好的阻抗匹配状态。
图5是天线在xz 和yz 截面上的增益方向图。图示结果显示,最大辐射方向为φ = 0°, θ = 0°,且增益为5.486 dB。
图6是天线的三维增益方向图。

图6 三维增益方向图
如何成为一名优秀的射频工程师,敬请关注: 射频工程师养成培训
上一篇:技术详解:示波器的差分探头,你了解多少?
下一篇:汽车主流配置:雷达系统集成技术

