- 易迪拓培训,专注于微波、射频、天线设计工程师的培养
你想不到的绝活:给手持设备射频功率放大器充电的方法
常规的方式是将功放的电源端与电池直接连接供电,但是这种工作模式会使得功放的工作效率很低,不能满足高效低功耗要求。德州仪器公司推出的SuPA(Supply for Power Amplifier)系列的 DC-DC 产品从工作机理上做了创新,采用平均功率跟踪(Average Power Track)技术和包络跟踪技术(Envelop Tracking)优化了射频功放工作时功率消耗,从而提高了功放的工作效率,延长了电池的工作时间。本文着重阐述平均功率跟踪技术的工作原理和 SuPA 的应用设计,从而方便设计工程师能够快速地理解和应用此项技术,实现高效的功放电源设计。
1、简介
当前越来越多的手持设备要求满足尽可能长的工作时间,常用的方式是:一方面,优化系统软件,将不用的软件关掉以节省更多的电能,用来延长电池的工作时间,这在优化应用处理器的功率消耗非常有效;另一方面,优化系统的硬件设计,采用低功耗、高效率的电源管理单元,这在优化射频单元和应用处理器单元的功率消耗非常有效,SuPA 是专业用于射频单元里驱动功放的电源,除了继承 DC-DC 的高的工作效率的优点以外,它还采取了平均功率跟踪技术(APT)用以配合射频功放工作时不同功率对电压的需求,动态调整输出电压给功放供电,从而满足高效的工作效率。
2、什么是包络跟踪技术(Envelop Tracking)
简而言之,就是在功放的工作电压与输入的射频信号之间建立联系使之实时互相跟随,从而提高功放的工作效率的技术,按照理论计算,相对直接使用电池的供电方式,它可以帮助系统节省 65%的功耗,SuPA 的新一代产品将会支持此模式。它的基本原理是:射频处理单元和基带处理单元根据射频信号、功率等级和功放的自身特性参数(可以使用功放的查询表 Look Up Table 或者又被称为调理表 Shaping Table)计算出包络信号(Envelop signal),同时射频、基带单元中的差分 DAC 会提供一个模拟参考信号, ET 电源(ETPS)会将包络信号放大,然后送往 PA,于此同时 PA 会将 RF 信号放大,使得 RF 信号和 PA 的工作电压跟随,最后功放将放大后的信号送给双工器,双工器会把带宽以外的信号衰减掉,同时将有用的信号凸显出来。图 1、图 2、图 3 描述这个过程中的信号调理过程。



3、什么是平均功率跟踪技术(Average Power Track)
这种方式又称为自适应电压调节方式(Adaptive Supply),它是根据功放的预先输出功率、结合功放的自身参数(可以使用功放的参数查询表 Look-Up-Table)来自动调整功放的工作电压的技术,按照理论计算,相对于电池直接供电模式,它可以帮助系统节省 40%的电能。相对 ET 方式,APT 使用和设计起来更加简单和方便,SuPA 当前产品主要支持这种模式。


4、射频功放的发展趋势和特点
随着数据业务的不断增加,目前已经由 2G 向 3G 和 4G 转移,所以要求功放承担更多的任务,因此要求功放具有更多工作模式和频率带宽满足不同地区的制式,同时还要满足更高的工作效率从而保持电池的长时间续航能力,因此为了满足这种要求,使用 ET 模式或者 APT 模式的射频电源就逐步成为趋势,以下图图示为例,它的射频电源单元可以支持 4 种带宽的 GSM/EDGE 模式。

5、SuPA 在射频单元中的位置
SuPA 是位于系统中的 RF 单元中给功放供电的位置,它在电池和功放之间,将电池电压根据基带单元和射频单元提供的功率信号以及配合功放的自身特性信号转换成功放的可以处于最优工作模式的工作电压,驱动功放工作在高效模式,达到节省电能的目的。

6、APT 模式的 SuPA 工作机理
1. UCC27201 datasheet, Texas Instruments Inc., 2008
2. LM5035 datasheet, Texas Instruments Inc., 2013
SuPA 电源变换器与传统的同步整流降压型直流变换器的内部拓扑是一致的,没有很大的不同,但是它的负载动态响应和主动负载电流辅助旁路控制(Active Current assist and Bypass)是做过优化的,因此它可以满足当负载电压和电流发生变化时可以快速响应,主动电流辅助旁路功能可以满足当入口电压瞬间下降或者负载电流瞬间增加时,可以将变换器迅速切换成类似负载开关模式,这样做有两个好处:第一,可以将电池能量快速提供给负载,满足负载需求;第二,可以使用小尺寸、小电流电感,当负载电流超过电感的电流极限时,那么 ACB 功能开关 V3 就会进入工作模式,将额外的负载电流承担过来提供给负载,无需再经过电感,所以可以使用小尺寸的电感,满足超紧凑设计要求,这在实际应用设计中是非常重要的。
它的工作过程是:首先当开关管 V2 导通时,V1 是断开的,入口电源会给电感充电,此时电感两端的电动势是左边为“正”,右边为“负”,当电感充电完成后,V2 会断开,V1 会导通,此时电感上的两端电压会反向,变为左边为“负”,右边为“正”,于是电感中储存的能量会经过负载、V1 然后回流到电感的负极,此时的电感更像是一颗电池给负载供电。电感的充电和放电过程会周而复始的进行,于是就会源源不断的向负载提供连续的电流,它的数学表达式是:Vo=D*Vin,其中 D 是占空比,即 V2 导通的时间在整个开关周期内所占的比例。
VCON 是用来接收来自射频处理芯片组或者基带芯片组的控制信号,这个信号会送进 SuPA 直流变换器控制单元,将输出电压和 VCON 电压信号按照 A 倍的系数进行转换,于是输出电压和 VCON 信号就会按照 A 倍的比率进行转换,即:Vo=A*VCON;当入口电压跌落或者负载电流意外增加时,造成变换器瞬间过流,于是就会开启主动电流辅助旁路功能(ACB)模式,V3 会将电池电压或者入口电源的电压调整后再接入系统,满足瞬间大负载电流需求,但是当入口电压进一步跌到与输出电压一致或者压差在 200mV 以内时,V3 就会立刻完全导通,进入真正的旁路模式,这是 SuPA 的独到的控制模式,比如 2G 的 PA 瞬态电流往往会超过 2A,于是旁路功能就会显得非常重要;在 3G 或者 4G 时,电流需求量不会很大,于是 SuPA就工作在单一的 DC-DC 转换模式,满足高效率要求。

图 8. SuPA 直流电压转换器功能简化框图, Io=Io1+Io2, Vin-Vo>0.2V, Io>1.45A

图 9. SuPA 直流电压转换器功能简化框图, Io=Io1, Vin-Vo< 0.2V
7 SuPA 变换器高效率工作机理和效率曲线
SuPA 可以工作在高效省电和低噪音两种模式,这两种模式是自动转换的,当负载电流低于 100mA 时,它工作在省电模式(PFM/ECO,开关频率会自动降低,减少开关损耗);当负载电流超过 100mA 时,它工作在低噪音模式(PWM,开关频率恒定不变,满足大负载电流输出),这样做可以保证 SuPA 在宽范围内的负载条件下,依然可以保持高效的工作状态,达到节省电能的目的,延长手持设备的的工作时间。



8 APT 模式的 SuPA 的内部电路框图剖析
以 LM3242 为例做一个详细设计说明,LM3242 是开关频率为 6MHz 的面向 3G 和 4G 功放的驱动电源,输出电压从 0.4V 到 3.6V 连续可调,带有 ACB 模式(FB 管脚和 VIN 管脚之间的 MOSFET 承担此功能,复用 FB管脚功能),最大输出电流可以支持到 750mA (DC-DC 模式)和 1A(ACB 模式),支持自动省电和低噪音模式;它的下一代产品 LM3243 可以支持高达 2.5A 的输出电流,带有单独的 ACB 管脚实现主动式辅助电流旁路模式,因此 LM3243 可以支持到 2G/3G/4G 模式,功能更加丰富,适用范围更宽。
从它的内部功能框图中可以看到,主开关管 V1 和 V2,承担降压变换功能,符合 Vo=D*Vin,而开关管 V3,承担 ACB 功能,FB 管脚被复用,承担电压反馈和 ACB 能量输出作用;VCON 管脚是用来接收来自射频单元或者基带单元给出的模拟电压信号,这个信号是由基带单元和射频单元的处理芯片将射频信号信息以及射频功放的特征信息经过计算转换成的可变电压信号,这个可变电压信号被送入 LM3242,使得输出电压跟随这个可变输入电压信号,它们可以用数学公式描述:Vo=A*VCON,A=2.5,VCON=0.16V~1.44V。

9 APT 模式下 SuPA 的原理图设计和关键功率器件设计:

图 14 是 LM3242 的典型原理图,为了清楚阐述功率器件设计过程,下面将分为两大部分进行说明。
输入、输出电容设计考虑:
从图 14 中可以看到输入电容为 1nF 和 10uF 组合,这样做的原因是可以滤除不同频率的噪音,输入端噪音可以来自两个部分:第一,来自于输入端电源总线上的噪音,比如总线还给其他负载供电,而这些负载的电源也是来自于 DC-DC 变换器,因此在电源总线就会叠加非常丰富的噪音;第二,来自于 LM3242的自身开关噪音,它的开关噪音同样会叠加在输入端,因此可能会干扰总线上的其它负载芯片,所以实际设计时,入口还会需要更多不同容值的电容才可以满足滤除不同噪音频率的要求,比如 10pF 或者 100pF的电容也会用到,不同容值的电容所针对的最佳滤除频率也是不一样的,对于大容量的电容来说它可以滤除的频率范围相对来说窄一些,因为它的拐点频率比较低,在拐点频率之内,电容的阻抗是呈下降趋势,也就是表现的是容性特质,但是拐点频率之上,阻抗是呈上升特性,则表现的是电感特性,因此不再具有滤波作用,这也就是需要搭配不同容值电容的原因所在,因为噪音频率非常丰富,一种容值的电容是不可能把宽频带的噪音全部滤除掉,另外还要注意同等容值、同等耐压的小尺寸的电容表现出来的容性带宽更宽一些,这主要是小尺寸的电容它的内部寄生电感量更小一些、同时它的有效容量更低一些,因此表现出来的特性就是滤除噪音的带宽更宽一些,从图中可以看出小容量但是尺寸更小的 01005 封装的电容,它可以滤除的噪音频带更宽。

输出电感设计考虑:
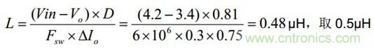
功率电感的计算,一般可以参照下面公式进行计算

Vo………………………..输出电压
D………………………….Vo/Vin
Fsw………………………开关频率,比如 LM3242,开关频率是 6MHz
ΔIo……………………….电感内部的纹波电流,可以取(0.2~0.5)Io
设计范例:
Vin=4.2V,Vo=3.4V,Io=0.75A,ΔIo=0.3*Io,Fsw=6MHz,D=3.4/4.2=0.81
则:

从公式中可以看出来,纹波电流越小则电感量就会越大,越小的纹波电流则在输出电容上产生的纹波电压就会越小(纹波电压=输出电容的 ESR*纹波电流),但是电感的尺寸会变大,不利于小尺寸设计,因此在实际设计时,需要平衡电感量、纹波电流、电感尺寸之间的关系。在选择电感时,除了要满足电感量参数外,还要考虑电感的可以承受的最大电流,即 IRMS 电流值,同时还要考虑电感的饱和电流值,即 ISAT,如果流过电感的总电流ITOTAL=IDC+IRIPPLE 超过了 ISAT,那就会使得电感饱和而失去了电感特性,即由电感变成了导线,从而造成变换器失效而损坏,通常来说,工程上快速评估可以采取 1.5 倍的 Io 做为一个合适的选取标准,比如输出负载电流为1A,那么选择电感的有效电流 IRMS 为 1.5A 为宜;还要注意的是,尽量选取带有屏蔽功能的电感,这样可以减少DC-DC 变换器工作时对外部环境造成的干扰。
10 SuPA 的 PCB 设计和 PCB 板叠层设计
1. 功率器件的位置(输入、输出电容和电感)
如下图所示,

从图中可以看出入口电容C1和C2是放置在芯片PVIN管脚最近的位置,输出电容是放在距离电感输出端最近的位置,这样做的原因是保持输入端功率回路包含面积(芯片,C1和C2、地线组成的环路)以及输出端功率回路面积(输出电感、C3、C4、地线)最小,这样可以有效减小开关电源噪音对外部环境的干扰,这是在射频电路设计中需要仔细考虑的要点。
2. 功率器件与芯片间的连线和PCB板叠层定义
PCB 板叠层设计举例:
表 层:用于连接流过大电流的连线,比如输入、输出电容、电感的电源线。
第二层:连接信号用的连线可以放置在此层,注意的是 FB 管脚是被复用的(做为 ACB 使用)会承载比较大的电流,因此需要使用 10mil 以上的线宽连接。
第三层:连接 SW 的连线可以放置此层,SW 是用来承载大于 1A 以上的峰值电流,因此线宽需要大于 15mil。
在某些应用时甚至需要分配两层同时放置 SW 铜线(两层叠加),用于减小寄生电感,尽可能降低在此铜线上的dv/dt,即 SW 上的开关噪音振铃幅值。
第四层:系统地层,它需要一层完整的铜箔作为地层,它可以作为芯片 SGND/PGND 的公共连接地层。




11 结论和主流射频功放电源产品
当今的手持设备功能越来越丰富,因此对于手持设备的电源系统设计来说挑战性越来越高,在满足高性能的同时尽可能延长续航时间是电源设计的终极目标,本文所讨论的 SuPA 产品可以有效节省射频单元的耗电量,尽可能把宝贵的能量留给其他应用处理器,有效提高设备的工作时间,目前德州仪器公司出品了一系列产品去满足不同射频功放的要求,比如 LM3242,LM3243,LM3262,LM3263 以及支持既可以升压又可以降压的产品满足未来的 4G 应用。
如何成为一名优秀的射频工程师,敬请关注: 射频工程师养成培训
上一篇:新年福利,教你DIY高精度无线话筒
下一篇:如何改善频谱使用效率?智能天线异军突起

