- 易迪拓培训,专注于微波、射频、天线设计工程师的培养
第一讲:混频器的工作原理分析
录入:edatop.com 点击:
第一节 混频器简介
混频器作为超外差接收机的重要组成部分,已经在雷达、通信、电子对抗、广播电视、遥控遥测等诸多领域中得到了广泛的应用。其技术指标的好坏直接影响到整机性能的发挥。
变频(混频)是将高频信号经过频率变换,变为一个固定的频率。这种频率变换通常是将已调高频信号的载波从高频变为中频同时必须保持其调制规律不变。具有这种功能的电路称为混频电路或变频电路,亦称为混频器(mixer)或变频器(convertor)。
一般用混频器产生中频信号:
混频器将天线上接收到的信号与本振产生的信号混频,cosαcosβ=[cos(α+β)+cos(α-β)]/2 可以这样理解,α 为信号频率量,β 为本振频率量,产生和差频。当混频的频率等于中频时,这个信号可以通过中频放大器,被放大后,进行峰值检波。检波后的信号被视频放大器进行放大,然后显示出来。由于本振电路的振荡频率随着时间变化,因此频谱分析仪在不同的时间接收的频率是不同的。当本振振荡器的频率随着时间进行扫描时,屏幕上就显示出了被测信号在不同频率上的幅度,将不同频率上信号的幅度记录下来,就得到了被测信号的频谱。
混频器的分类:
●从工作性质可分为二类,即加法混频器和减法混频器分别得到和频及差频。
●从电路元件也可分为三极管混频器和二极管混频器。
●从电路分有混频器(带有独立震荡器)和变频器(不带有独立震荡器)。
●混频器和频率混合器是有区别的。后者是把几个频率的信号线性的迭加在一起,不产生新的频率。
第二节 混频器组成框图
一般变频器应由四部分组成,即输入回路、非线性器件、带通滤波器和本机振荡器组成,如图 1-1 所示,本机振荡器用来提供本振信号频率 fL 。输入高频调幅波 Vs ,与本振等幅波 VL ,经过混频后输出中频调幅波 Vi 。输出的中频调幅波与输入的高频调幅波的调制规律完全相同。即变频前与变频后的频谱结构相同,只是中心频率由 f s 改变为 f i ,也就是产生了频谱搬移。但应注意,高频已调信号的上、下边频搬移到中频位置后,分别成了上、下边频。

第三节 混频器工作原理
晶体管混频器的变频增益较高,因而在中短波接收机和测量仪器中广泛采用。
晶体管混频器的原理电路如图 1-2 所示,在发射结上作用有三个电压,即直流偏置电压 vBB 信号电压 uS 和本振电压 uL 。为了减小非线性器件产生的不需要分量,一般情况下,选用本振电压振幅u LM>>u SM ,也就是本振电压为大信号,而输入信号电压为小信号。在一个大信号 uL 和一个小信号 uS 同时作用于非线性器件时,晶体管可近似看成小信号的工作点随大信号变化而变化的线性元件,如图 1-5 所示。t1 时刻,在偏压 vBB 和本振电压 uL 的共同作用下,它的工作点在 A 点,此时 us 较小。因此,对 us 而言,晶体管可以被近似看成工作于线性状态。在另一时刻 t2 ,对于 uS 而言,由于偏压和本振电压的作用,工作点移到 B 点,这时对 us 仍可看成工作于线性状态。虽然两个时刻均工作于线性状态,但工作点不同,这两个时刻的线性参数就不一样。因为 us 的工作点随 uL 的变化而变化,所以线性参量也就随着 uL 变化而变化,可见线性参量是随时间变化的,这种随时间变化的参量称为时变参量。这样的电路称为线性时变电路。应当注意,虽然这种线性时变电路是由非线性器件组成。但对于小信号 us 来说,它工作于线性状态,因此,当有多个小信号同时作用于此种电路的输入端时,可以应用叠加原理。


以下是以共发射极注入式为例分析晶体三极管混频器工作原理。设输入信号

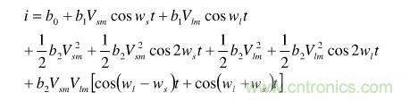
由上式可知,当两个不同频率的高频电压作用于非线性器件时,电流中不仅含有基波(Wl,Ws)成分,同时由于平方项的存在,还产生了许多新的频率成分(即直流分量,二次谐波,和频与差频)。其中差频分量 Wl-Ws 为所需的中频成分 Wi 通过滤波网络,就能选出中频成分,即完成混频。
第四节 三极管混频器的工作波形及频谱图
混频器将接收到的高频载波信号与本振产生的信号混频,接收到高频载波信号的频率为 fs ,幅度位 Uam (t) ,本振电路产生的频率为 fl ,当经过混频后变成一固定中频 fi=fs-fl 。通过示波器观察可得出混频前后的工作波形和通过频谱分析仪我们同样可以得到其变频前后的频谱变化,如下图所示:

如何用高输入IP3混频器实现VHF接收器设计
http://www.cntronics.com/rf-art/80020992
如何消除电变频器对其他设备的干扰
http://www.cntronics.com/emc-art/80020629
RF混频器及其在3G无线基站接收器中的应用
http://www.cntronics.com/rf-art/80000697
如何成为一名优秀的射频工程师,敬请关注: 射频工程师养成培训
上一篇:射频工程师看过来:功率放大器那点事!
下一篇:谈射频能量采集技术发展前景

