- 易迪拓培训,专注于微波、射频、天线设计工程师的培养
信号链基础知识之模拟正交调制器失衡的数字校正
宽带宽无线发射器常用模拟正交调制器(AQM)把复合(I + j*Q)基带信号转换为射频(RF)。AQM内含一个本机振荡器(LO)输入、一个生成两个LO 90度异相的分相器、两个混频器(每个混频器将基带信号混频为射频)以及一个组合两个信号的加法器(图1)。

图1:模拟正交调制器系统结构图
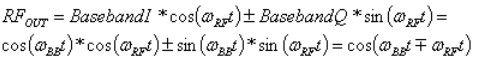
就一个完美匹配I和Q通路的理想AQM而言,基带信号的wBB频率复频为:

根据基带Q的不同符号,得到wBB - wRF或者wBB+ wRF RF输出的单频

但是,实际状况不见得理想,有三种可能出现的误差:
1. 基带DC偏差
2. I和Q分支之间的增益错配
3. LO相位误差
图2数学方法表示。

图2:有偏差、增益及相位误差的AQM的数学表示
DC偏移会与LO混频,产生LO馈通,即wLO的频率。I和Q分支的DC偏移加入正交,形成以下的LO馈通振幅:

通过在基带信号中添加一个反向偏差,可对LO馈通进行校正。许多双高速DAC或集成发射器解决方案,例如:TI的AFE7071等,都包括生成校正用基带偏差的数字电路。找到I和Q基带信号最佳DC偏差值的一种简单方法是,监测LO馈通振幅,并反复地改变首个I DC偏差,然后再改变Q DC偏差,最终找到最小LO馈通(图3)。在pass 1期间,Q DC偏差保持不变,而对I DC偏差进行扫描,直到找到最小LO馈通为止。在pass 2期间,I DC偏差值维持在最低限度,而对Q DC偏差进行扫描,直到找到最小LO馈通为止。在理想情况下,每个I和Q仅需要一个pass,但首批2个pass期间LO馈通最小值所产生的测量误差,通常亦意味需要3个或者4个pass。

图3:本机振荡器馈通校正过程
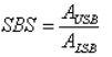
增益和相位误差会导致无用混频器抵销不完全的结果—剩余量称作边带抑制(SBS)。上下边带振幅以基带Q输入的增益误差G和I分支混频器LO的相位误差(弧度)作为开始,其为

在这种情况下,低边带主导,而边带抑制为一个比率:

或者也可以用dBc表示:

图4显示dBc和相位及振幅误差表示边带抑制的比较情况。

图4:边带抑制(dBc)对比相位及振幅误差
使用上述类似方法求解LO馈通时,通过改变基带信号的增益和相位来抵消AQM的增益和相位误差,可以校正边带抑制(SBS)。如TI的DAC34SH84等高速插值数模转换器(DAC),包含了一些生成DC偏差、基带信号增益和相位变化的数字电路,从而可以轻松修正AQM的缺陷。
尽管LO馈通和SBS均可在任何状态下获得完美的校正,但最佳校正值会随电源电压、温度、RF和基带频率、LO功率等而变化。通常,仅在制造期间进行一次校正,之后,在系统起动时,再对这些值进行存储和编程。在一次性校正以后,LO馈通和SBS的温度、电压和LO功率差异通常会在AQM数据表曲线图中标明(参见TI TRF3705数据表图33-44)。LO馈通和SBS通常会好于–50 dBc(比未校正值好10-15 dB)。
如何成为一名优秀的射频工程师,敬请关注: 射频工程师养成培训
上一篇:RFID无线灯号拣货系统
下一篇:RFID老年公寓人员定位识别系统解决方案

