- 易迪拓培训,专注于微波、射频、天线设计工程师的培养
改进型Wilkinson功分器的设计
0 引言
功分器是无线通信系统中的一种非常重要的微波无源器件,在天线阵馈电系统、功率放大器和无线局域网中都有着广泛的应用。目前应用最多的微波功率分配器多为威尔金森(Wilkinson)形式的功分器,其优点在于设计方法较简单、易于实现,输出端口可以实现较高隔离。近年来,功分器的研究已经越来越成熟,也越来越深入在传统Wilkinson功分器的输出端添加短路枝节的方法实现了宽带功分器;文芦状的多节阻抗变换器Wilkinson 功分器结构,显着展宽了功分器的工作带宽;一款平面结构的新型双频功分器;直接多路输出Wilkinson 功分器的计算公式,进一步完善了该功分器的设计指导。然而,当工作频率升高以后,制作器件的实际尺寸将会缩小,由于隔离电阻的存在,使得两个输出支路的电路布局存在限制,尤其在不等功率分配,两个输出端口存在强烈互耦而恶化功分器的整体性能。设计了改良型的Wilkinson功分器,该功分器工作在无线局域网S频段2.4~2.483 5 GHz频率范围内,从而增加了其实用价值。利用ADS 软件进行了仿真设计,并进行了实物加工和测试。
1 功分器设计
对于基本的Wilkinson功分器,其输入/输出端口特性阻抗为Z0,两段分支微带线的电长度均为λg 4 。实现等功分3 dB设计的Wilkinson功分器,基本原理与设计公式在参考文献[7]中已经做了详细介绍,其电路结构示意图如图1所示。然而传统的 Wilkinson功分器在工作于频率较高的情况下,电路尺寸将会缩小,电路布局受到限制,并且两输出端口互耦严重进而影响其性能。
为了解决这些问题,本文通过在隔离电阻两侧和两输出支路上引入电长度180°( λ 2)微带传输线,将图1所示的功分器结构改进为图2所示。
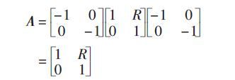
改进型Wilkinson 电路结构,通过引入λ 2 长度的传输线后,大大提高了电路布局的灵活性。由传输线理论可知,中心频率处隔离电路部分的矩阵A 为:

由传输线理论可知,中心频率处隔离电路部分的矩阵A 为
由矩阵A 可知,两输出支路之间的隔离电路部分仍等效为一个串联电阻,两段λ/2长度传输线的引入,不但没有改变电路的性能,而且增加了两输出端口微带线间的距离,从而减小了相互干扰。

图1 传统Wilkinson功分器结构示意图

图2 改进的Wilkinson功分器结构示意图
2 仿真及实验结果
根据上述分析和计算,设计了一款用于无线局域网的二等分功分器。中心频率为f0=2.45 GHz,频率范围为2.4~2.483 5 GHz,输入/输出端口阻抗Z0=50 Ω,隔离电阻R=100 Ω。选用F4B系列微波介质材料板,相对介电常数为εr=2.65,损耗角正切tan δ=0.001,厚度h=2 mm.

图3 功分器最佳电路尺寸及加工实物图
利用ADS 仿真软件进行大量的仿真优化,得到最佳的电路尺寸和最终的加工实物如图3 所示。使用AgilentN5230A矢量网络分析仪对加工的功分器进行了实际测量。图4给出了各端口S 参数仿真和实测结果的对比。

图4 S参数的仿真与实测结果对比图
由图4 可知,在无线局域网频带2.4~2.483 5 GHz内,实测结果表明输入端口(S
如何成为一名优秀的射频工程师,敬请关注: 射频工程师养成培训
上一篇:解决手机EMI及ESD干扰的新型滤波器
下一篇:安捷伦手持式通用测试设备荣获2013年Frost & Sullivan产品创新和领导力大奖

