- 易迪拓培训,专注于微波、射频、天线设计工程师的培养
雷达发射机的调制器电路设计
调制器是雷达发射机中的一个比较重要的组成部分,其主要作用是给雷达发射机的行波管提供正负偏电压、灯丝电压以及调制脉冲。由于本调制器是悬浮在 -30kV电位上的,在打火或其他一些异常情况下比较容易损坏。所以,更深入理解调制器的电路,在排除故障的过程中显得非常重要。
1调制器的主要性能指标
本调制器是由电源和脉冲形成等两部分组成。其中电源部分的作用是把220V/400Hz电源变换成符合要求的直流电源。脉冲形成部分的作用是提供电压、功率、脉冲宽度及脉冲波形等参数都满足要求的视频脉冲。
1.1电源指标
该系统的电源部分由三路电源组成,分别是灯丝电压、负偏电压和正偏电压。其中灯丝电源的输出电压值为+9~+12V,电压稳定度为5×10-2;负偏电源的输出电压值为-380~-440V,电压稳定度为5×10-2;正偏电源的输出电压值为+360~+420V,电压稳定度为5×10-2。
1.2输出脉冲指标
本调制器的调制脉冲宽度在远距时为1.5±0.2μs,而在近距时为1.0±0.1μs;而在调制脉冲的前后沿,其脉冲上升时间为O.1μs,脉冲下降时间为0.3μs。
2电路分析
2.1电源电路分析
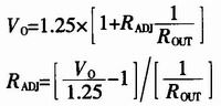
本调制器的电源使用的是LMll7和LMl38两种三端可调整稳压集成电路,其电路图如图l所示。而其输出电压Vo和调整电阻的计算公式如下:


需要说明的是,图1中的稳压器管脚电压差Vo-Vi应在3-35V范围内,超出范围将不稳压;LMll7K的额定电流为1.5A,LMl38K的额定电流为5A;这两个器件的两者管脚定义相同;为保证稳压器正常工作,设计时可选用0.25W电阻ROUT,其值可选120Ω~240Ω。
2.2调制波形成电路分析
本调制器的组成原理框图如图2所示。图中,当定时脉冲输入到来时,经过缓冲器驱动后,该脉冲将分成两路,分别提供给调制脉冲前沿开启和后沿截止MOS管。其中前沿开启脉冲经缓冲器驱动和三极管放大后,加到隔离升压变压器,以保证高速开启管正常开启;而后沿截止脉冲则使用后沿触发的单稳态触发电路形成,以保证形成的调制脉冲的宽度与定时脉冲的宽度一致。

3故障检修
3.1电源故障检修
对于灯丝电源电路不稳压,电压值高于额定值的情况。其原因通常是稳压器LMl38K损坏。而造成稳压器损坏是因为灯丝电源正向输出端对地打火,瞬间产生的大电流通过稳压器内部,从而造成其损坏。笔者更换新的稳压器LMl38K,即恢复正常。
3.2脉冲形成电路故障检修
脉冲形成电路常见故障是无脉冲输出。其原因一般是前后沿脉冲形成电路中的CC404l或MOS管BUZ50B损坏。笔者在更换新的器件后,随之恢复正常。
通过本文的分析,目的是使雷达维修人员能够更快速准确地找到并排除雷达调制器的常见故障。
如何成为一名优秀的射频工程师,敬请关注: 射频工程师养成培训
上一篇:COSMO-SkyMed-4成功发射
下一篇:基于ARM的GPS接收机的设计

