- 易迪拓培训,专注于微波、射频、天线设计工程师的培养
基于矢量网络分析仪ZVB的放大器测试
放大器的测试指标可以分为两类:线性指标测试和非线性指标测试。线性指标的测试基于S 参数的测量,采用常规矢量网络分析议来完成。对于非线性指标的测试,传统测试方案采用频谱仪加信号源方法,但这种方案有很多缺点如无法实现同步扫频、扫功率测试,不能进行相位测量如幅度相位转化(AM/PM)测量。R&S ZVB采用创新的硬件结构,其输出功率很高、功率扫描范围宽,因而无需另外单独使用前置放大器,一次扫描即可确定放大器功率压缩特性。ZVB采用了强大的自动电平控制设计以及高选择性、高灵敏性的接收机,因而可在较宽的动态范围下进行放大器的谐波测试而无需使用外部滤波器。
端口匹配特性测量
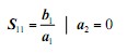
端口匹配特性主要测试端口的S11与S22参数。如端口1的S11参数等于反射信号b1与入射信号a1之比:
![]()
S11参数也可称为输入反射因子。S11为复数,工程上通常用回波损耗(RL)和驻波比(VSWR)来表达端口的匹配程度。S11与这两个参数的关系如下:

以上两个参数与S11的换算由ZVB自动完成,用户只需要在[Format] 菜单中选择[dB Mag]->回波损耗,[SWR]->驻波比,就可以显示相应的测试曲线。ZVB提供轨迹统计功能[Trace Statistics],可自动显示轨迹的最大值、最小值和峰-峰值,并且可以通过设置 [Eval Range],来调整统计频率范围。该功能对带限器件(如滤波器)的带内指标测试非常有用。

图1 回波损耗测试和轨迹统计结果
在电路设计的过程中,精确输入阻抗信息对于设计人员更为重要。比如:在手机板设计中,设计人员要精确测试前端放大器的输入、输出阻抗,然后根据输入、输出阻抗信息来设计对应的匹配网络,达到手机的最大功率发射和最佳的整机灵敏度。输入阻抗与S11的关系如下:
![]()
用户通过选择[Format] 键中的[Smith]菜单来显示阻抗测试轨迹,通过设置Marker可以方便的测得每一频点对应的输入电抗和电阻。另外ZVB标配的虚拟加嵌功能,能模拟 在输入、输出端口加上虚拟的匹配网络之后,整个网络的性能。该功能大大简化了设计人员的工作量,无需实际的电路调整,就能预测调整后的DUT性能。用户通 过选择[Mode]菜单中的[Virtual Transform]来激活该功能。
传输参数测量
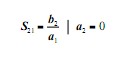
除了端口匹配特性的测量,放大器前向放大和反向隔离特性也可分别由测试S21 和S12 得到。前向的传输参数S21 等于在端口2测得前向功率b2与端口1的激励功率a1的比值:

而放大器的增益等于S21绝对幅度的对数值:
![]()
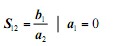
反向的传输参数S12 等于在端口1测得反向功率b1与端口2的激励功率a2的比值:
![]()
而放大器的反向隔离度等于S12绝对幅度的对数值:
![]()
用户只需分别设置S21和S12的 显示格式为dB([format] -> [dB Mag]),放大器增益和隔离度即可同时显示在ZVB上。

图2 增益和反向隔离测试结果
功率压缩特性测量
功率压缩特

