- 易迪拓培训,专注于微波、射频、天线设计工程师的培养
LDO环路稳定性及其对射频频综相噪的影响
本文首先简要地介绍了LDO的噪声来源及环路稳定性对输出噪声的影响;其次,根据调频理论推导出VCO的相位噪声与LDO的噪声频谱密度的理论计算关系。在此基础上,为了验证LDO噪声对射频频综输出相噪的影响,分别采用TPS7A8101和TPS74401 LDO评估板给TRF3765射频频综评估板供电,对比测试这两种情况下的TRF3765相噪曲线;同时,为了验证LDO环路稳定性对频综相噪的影响,针对TPS7A8101评估板的参考电路做出部分修改,并对比测试了电路修改前后的TRF3765输出相噪。
1、LDO噪声来源及环路稳定性对输出噪声影响
1.1 LDO噪声来源
LDO的噪声分为LDO内部的噪声和LDO外部的噪声。LDO内部的噪声来自于内部电路的带隙基准源,放大器以及晶体管。LDO外部的噪声来自于输入。在LDO的手册中,PSRR是表征LDO抑制外部噪声的能力,但PSRR高并不代表LDO内部噪声小。LDO的总输出噪声才是表征LDO内部噪声抑制的参数,一般在电气特性表里用单位?VRMS表示,或者在噪声频谱密度图上表示。

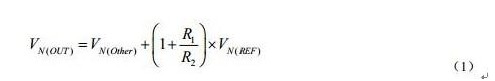
图2是LDO内部结构框图,VN代表等效噪声源。噪声源包括带隙基准源产生的噪声VN (REF),误差放大器产生的噪声VN (AMP),FET产生的噪声VN (FET)以及反馈电阻产生的噪声VN (R1)和VN (R2)。在大多数情况下,由于带隙基准源电路是由很多不同的电阻、晶体管和电容组成,它所产生的噪声会远远大于反馈电阻产生的噪声。而且带隙基准源是误差放大器的输入,它所产生的噪声也会经由误差放大器放大来控制FET,所以误差放大器本身以及FET所产生的噪声也会比带隙基准源的噪声要低。可以说,LDO内部最大的噪声源就是带隙基准源。我们把LDO输出噪声VN (OUT)表示为
VN (Other)是VN (AMP)以及VN (FET)的和。由公式1可以得出,输出噪声最小值出现在R1短接到FB,误差放大器的增益近似为1的时候。

1.2 LDO噪声抑制方法
为了抑制带隙基准源产生的噪声,有三种办法。
一是降低误差放大器的带宽,抑制了带隙基准源的高频噪声。但是降低带宽会使LDO的动态性能降低。
二是在带隙基准源和误差放大器之间加低通滤波。高性能的LDO都会有一个噪声抑制NR管脚,CNR并联在带隙基准源和GND之间,起到低通滤波的作用。如图3所示。

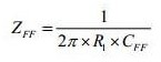
三是在反馈电阻R1上增加前馈电容CFF.在增加了CFF和CNR后,输出噪声可以表示为
从式2可以得出,CFF越大,输出噪声就越小。频率越高,输出噪声越小。
图4是不同CFF下的噪声频谱密度图。可以看出,CFF越大,噪声从低频开始都能被很好的抑制。CFF太小的时候,抑制噪声的作用就不太明显。当频率很高的时候,不管用多大的CFF,噪声频谱密度相差不会太大。所以,增加合适的前馈电容CFF,对改善LDO低频噪声有非常好的效果。

1.3 LDO环路稳定性与输出噪声的关系

从LDO的小信号分析可以看出,LDO有两个低频极点,如果没有合适的零点补偿,LDO的稳定裕度不够,就有可能产生震荡。稳定裕度不够的LDO产生的内部噪声会更大。上节中提到第三种噪声抑制方法,即增加前馈电容CFF是实际上为了改善系统稳定裕度。由CFF与R1组成一个低频零点,
。
由下图的频率响应可以看出,零点是相位裕度有了很大的提升,增加了系统稳定性,从而减小了系统低频噪声。

2、LDO噪声与VCO输出相噪的关系
电源引入噪声对锁相环中各个有源器件都可能造成影响,其中最为敏感的部分是VCO,本文将着重讨论LDO输出噪声对VCO相噪的影响。
一个典型的LDO供电的频综系统框图如图7所示:加载在电源上的噪声信号通过频率调制过程调制到VCO的输出,造成VCO输出相噪恶化。

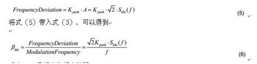
根据经典调频系统理论,调制指数β由式(3)来表示
对于电源噪声调制,式中的频率背离(Frequency Deviation)可由下式得到
式中,Kpush是VCO的电源推压指数,它表征的是VCO对电源噪声波动的灵敏度,单位用MHz/V来表示;A是电源噪声信号幅度。
对于采用LDO供电的射频频综来说,通常用LDO的指定频率偏移的频谱噪声密度Sldo(f)(Noise Spectrum Density)来表征电源噪声,由于它是一个RMS电压值,所以式(4)可以表示为
式中,f是相应的频率偏移。
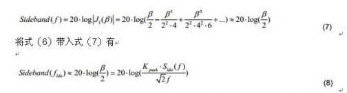
由不同频率成分噪声调制到载波输出引起的单边带噪声,由下式表示
由式(8)可见,对于给定的VCO,由于Kpush是一个确定的值,因此由LDO噪声引起的VCO输出相噪是由LDO的噪声频谱密度(Noise Spectrum Density)决定的。
3、采用不同LDO进行射频频综供电对比测试
3.1 TPS7A8101/TPS74401频综供电对比测试
TPS7A8101和TPS74401是TI推出的两款高性能LDO芯片。与TPS74401相比,由于具有更高的环路增益和带宽,TPS7A8101具有更高的电源噪声抑制比(PSRR);然而,由于具有更好的系统稳定性,TPS74401拥有更低的噪声频谱密度(NSD),如下图8所示。

下面我们分别采用TPS7A78101和TPS74401评估板对TRF3765评估板进行供电,比较两者的输出相噪。测试设置如下图9所示,LDO的输入5V电源由Agilent E3634提供,通过LDO评估板后转变成3.3V给TRF3765供电。TRF3765采用评估板上自带的61.44MHZ晶振作为参考输入,输出频率为2.28GHz.TRF3765的射频输出连到R FSQ8相噪分析仪上测试相应的相噪曲线。

两者对比测试结果如下图10所示,

由上图看见,采用TPS7A8101供电,TRF3765在整个积分区间内(1KHz~10MHz)的RMS抖动为0.62ps;而TPS74401的RMS抖动仅为0.44ps.
3.2 TPS7A8101输出电路优化及其对频综相噪的影响
TPS7A8101评估板初始原理图如图11所示,由上节的测试结果可知,采用该电路给TRF3765供电,RMS抖动为0.62ps.

第一章中我们已经讨论了LDO加一个前馈电容可以有效的提高电源的环路稳定性,从而降低LDO的输出噪声频谱密度。基于此,我们在TPS7A8101输出加一个0.47 ?F的前馈电容,修改后的原理图如下图12所示。

针对修改前后的设计,我们对比测试了相应的TRF3765相噪曲线,如图13所示,由图可见,增加0.47 ?F输出电容后,1KHz到10MHz的RMS抖动由0.62ps提高到0.49ps.

4 结论
综合以上两组测试的测试结果,可以得到下表

由表1可以看到,由于TPS74401的噪声频谱密度最小,在给频综供电的时候可以取得最好的相噪性能;TPS7A8101噪声频谱密度相对较大,在给频综供电的时候取得的相噪性能相对较差;但是通过优化TPS7A8101的输出电路设计,频综的相位噪声得到了明显的改善。
实测结果很好的验证了前文的理论分析,即:LDO的噪声频谱密度参数(NSD)决定了由电源噪声引起的VCO相噪恶化;通过提高LDO的环路稳定性可以达到降低噪声频谱密度的目的,从而改善频综的输出相噪。
5、参考文献
[1] LDO Noise Examined In Detail (SLAA412)
[2] LDO Noise Demystified (SLYT489)
[3] Externally Inducted VCO Phase Noise,DENNIS COLIN,Mica Microwave
[4] TPS74401 Datasheet (SBVS066M)
[5] TPS7A8101 Datasheet (SBVS179A)
如何成为一名优秀的射频工程师,敬请关注: 射频工程师养成培训
上一篇:基于振弦式传感器设计测频系统
下一篇:线性器件/系统和非线性器件/系统的区别

